Budeia Skrevet 15. oktober 2021 Skrevet 15. oktober 2021 Dean Odle har noen lange foredrag, eller prekener om hemmelige dokumenter. Her er en kort video:
aklla Skrevet 15. oktober 2021 Skrevet 15. oktober 2021 Hvorfor vil du nok en gang diskutere hva dette betyr? Holdt ikke de siste 20 gangene akkurat dette ble forklart? 1
Budeia Skrevet 15. oktober 2021 Skrevet 15. oktober 2021 aklla skrev (7 minutter siden): Hvorfor vil du nok en gang diskutere hva dette betyr? Vil og vil,. Det var et spm her om kilde. Er dette en advarsel til meg, siden du kun kommer med et spørsmål om hvorfor jeg deltar i tråden?
matteus Skrevet 15. oktober 2021 Skrevet 15. oktober 2021 Budeia skrev (1 time siden): Dean Odle har noen lange foredrag, eller prekener om hemmelige dokumenter. Her er en kort video: Skal vi diskutere dette enda en gang? Det er på tide å konsentrere seg om de faktiske bevis som alle kan se, i stedet for å grave seg ned i gamle NASA-dokumenter som ingen FE-er skjønner bæret av, og i alle fall ikke han som står å prediker dagens tekst. 1
Budeia Skrevet 15. oktober 2021 Skrevet 15. oktober 2021 matteus skrev (1 minutt siden): Skal vi diskutere dette enda en gang? Det blir vel opp til ham som stilte spørsmålet om kilde, nemlig Hr Synden, Hr Arve Synden.
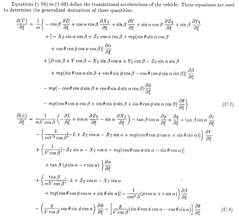
Arve Synden Skrevet 15. oktober 2021 Skrevet 15. oktober 2021 (endret) 1 hour ago, Budeia said: Dean Odle har noen lange foredrag, eller prekener om hemmelige dokumenter. Her er en kort video: Haha. Dette har vi vært gjennom før. Jeg tror jeg tidligere i denne tråden har beskrevet i detalj hvorfor dette er bare tull og tøys og hvorfor NASA har skrevet denne rapporten. Men la oss ta det nøye en gang til. Rapporten[1] tar for seg i noe detalj utledning og beskrivelse av en linearisert modell for dynamikken til et fly. Slike beregninger blir veldig fort veldig kompliserte, vanskelige og beregningskrevende. Spesielt med datamaskinteknologien man hadde tilgjengelig på 1980-tallet og før. Derfor har man gjort noen forenklinger. Dette gjør at man kan lage en flysimulator med selv nokså begrensete datamaskinressurser. I første setning i andre avsnitt i innledningen skriver de: Quote This report details the development of the linear model of a rigid aircraft of constant mass, flying over a flat, nonrotating earth. Det betyr følgende: Den ene forenklingen er at de har linearisert ligningene. Det vil si at man begrenser dynamikken ligningene kan beskrive, som i praksis setter begrensninger på hvor stor akselerasjonen (som er den andrederiverte) kan være, og ligningene beskriver avviket fra en nominell flybane, altså på en måte "vinglingen" rundt denne. Den andre forenklingen som er gjort er at man forenkler geometrien i det hele. Det gjør man ved å late som om jorda er flat og ikke roterer. På den måten unngår man å ta hensyn til en god del kompliserende koordinattransformasjoner pluss korioliskraft, som vil ha lite å si for sluttresultatet siden de effektene man ser etter skjer over en skala som er liten i forhold til jordas krumning. Det er derfor en akseptabel tilnærming. Den neste forenklingen er at flyet er helt stivt, altså at vingene og flykroppen ikke kan bøye og tøye seg (alle som har sittet og sett på vingene når et fly tar av eller lander, eller kommer ut for turbulens har sett at vingene er fleksible – dette ser man bort fra i denne rapporten). Til sist har de gjort forenklingen at massen er konstant, som vil si at man ikke tar hensyn til at flyet bruker av drivstoffet det har ombord. Slike forenklinger er helt standard – og helt akseptable – å gjøre om man ikke har behov for en fryktelig detaljert beskrivelse av fysikken. Disse forenklingene er også helt standard å gjøre i lærebøker i fysikk, hvor jordkrumning, korioliskraft etc. gjør ting unødvendig komplisert, og tar oppmerksomheten vekk fra hovedpoenget i temaet som behandles. Men når ting skjer på en stor nok skala over lang nok tid og i store nok hastigheter, så må man ta hensyn til effektene om man skal ha en detaljert beskrivelse av systemet, for eksempel en flysimulator som skal beskrive alle aspekter ved dynamikken til et fly. Men da må man sørge for å ha kraftige nok regneressurser tilgjengelig, mye mer enn det som var tilgjengelig på 1980-tallet. Men til tross for disse forenklingene er ligningene kompliserte nok. Se Appendix A-D, sidene 31-99. Her er et bittelite eksempel fra én av sidene: Altså: Man skal ha en bra begrenset leseforståelse (eller i flatjordsfolkenes tulleverden: en vrangvillig leseforståelse) for å forstå sitatet over dithen at NASA påstår at jorda er flat. De skriver tross alt "a flat, nonrotating earth" - en flat, ikke-roterende jord. De skriver ikke at "since the earth is flat, we make the following approximations". Dersom jorda faktisk hadde vært flat og ikke-roterende hadde det ikke vært noe behov for å presisere akkurat dette, og det ville da vært forunderlig om de gjorde det. Men de gjør altså denne presiseringen for å informere leseren om hvilke forenklinger som er gjort. Dette er tross alt en faglig rapport skrevet av fagfolk for fagfolk, og akkurat den detaljen er nok til at fagfolk med en gang skjønner hva dette betyr: formuleringen er fysikkspråk for at man har gjort forenkling nr. 2 over. [1] Duke et al., Derivation and definition of a linear aircraft model, NASA RP-1207 (1988). PDF av rapporten kan lastes ned herfra. Endret 15. oktober 2021 av Arve Synden 1 3
Budeia Skrevet 15. oktober 2021 Skrevet 15. oktober 2021 Arve Synden skrev (3 minutter siden): Haha. Dette har vi vært gjennom før. Da du stilte spørsmålet må du ha visst at denne kilden kunne dukke opp? Du håpet kanskje at den ikke ville dukke opp denne gangen, eller hva? Arve Synden skrev (4 minutter siden): Disse forenklingene er også helt standard å gjøre i lærebøker i fysikk, hvor jordkrumning, korioliskraft etc. gjør ting unødvendig komplisert, og tar oppmerksomheten vekk fra hovedpoenget i temaet som behandles. Det betyr at de ypperste vitenskapsmenn som skal ha klart å ha en direktesending fra Månen, ikke orker dette. Hvordan kunne de da lande på Jorda igjen på samme sted som de reiste ut? Dere har sagt tidligere at Gud måtte være i stand til å lage en balljord selv med alle utfordringer med gravitasjon og annet. Men dette virker som enda et bevis på at alt ved en balljord er upraktisk.
aklla Skrevet 15. oktober 2021 Skrevet 15. oktober 2021 Budeia skrev (1 time siden): Vil og vil,. Det var et spm her om kilde. Er dette en advarsel til meg, siden du kun kommer med et spørsmål om hvorfor jeg deltar i tråden? Bare mer ett spørsmål hvorfor ta opp de samme identiske temaene igjen og igjen og igjen, for så få forklart det samme igjen og igjen og igjen, for så spørre nøyaktig det samme spørsmålet enda flere ganger. Dette er vel minst 20. gangen akkurat den linjen i den manualen har kommet opp her. Så jeg lurer jo på hvilken glede du har av å repetere det samme i det uendelige. Ingen form for advarsel. 3
Budeia Skrevet 15. oktober 2021 Skrevet 15. oktober 2021 aklla skrev (5 minutter siden): Bare mer ett spørsmål hvorfor ta opp de samme identiske temaene igjen og igjen og igjen Foregår slik at jeg har lange pauser fra tråden, og ser i dag at André har skrevet en del innlegg i det siste, men ikke sikkert jeg skriver noe. Ser deretter at Arve har stilt et spørsmål, og jeg husker navnet på Dean Odle. Da kan jeg legge inn det. Som ikke tar lang tid. Er det det samme å stille et spørsmål som å legge ut en video, som svar på et spørsmål? Det skulle ikke ta lang tid, men ser jo at det kan bli en lengre opprydding og oppstandelse her etter mitt "lille" innlegg.
Arve Synden Skrevet 15. oktober 2021 Skrevet 15. oktober 2021 (endret) 34 minutes ago, Budeia said: Da du stilte spørsmålet må du ha visst at denne kilden kunne dukke opp? Du håpet kanskje at den ikke ville dukke opp denne gangen, eller hva? Nei, @Andrè den gode sa US Air Force på 1950-tallet "manualene til usa forsvaret anno 1950 tallet". Denne rapporten var fra NASA på 1980-tallet. 34 minutes ago, Budeia said: Det betyr at de ypperste vitenskapsmenn som skal ha klart å ha en direktesending fra Månen, ikke orker dette. Hvordan kunne de da lande på Jorda igjen på samme sted som de reiste ut? Det er bemerkelsesverdig hvor mange feil, unøyaktigheter og villedende opplysninger du klarer å pakke inn i to korte setninger: Det er ikke et spørsmål om å orke eller ikke orke. Det er et spørsmål om å gjøre det nøyaktig nok. Noe mer vil være overflødig arbeide. Akkurat som når du skal din ukentlige husvask i boligen din (eller hvor ofte du nå enn vasker), så går jeg ut fra at du ikke flytter ut alt av møbler, gjør full rengjøring og full oppussing av stua. Det holder å bare vaske. På samme måte holder det å bare gjøre beregninger som gjør en god nok jobb. Ligningene beskriver et fly som flyr nær horisontalt, ikke en rakett som flyr nær vertikalt. For en rakett som flyr vertikalt kan man gjøre tilsvarende forenklinger, men ikke de samme som man gjør for fly som flyr horisontalt. At man gjør forenklinger betyr ikke at ligningene og utregningene blir ubrukelige. Det betyr bare at de er mindre nøyaktige enn mer kompliserte beregninger/simuleringer. Lineære utledninger kan være nøyaktige nok, og det er ikke sikkert det er nødvendig å gå mer detaljert til verks, for et gitt presisjonsnivå. De landet ikke på samme sted som de reiste ut. Apollo 11 tok av fra Kennedy Space Centerl i Florida og landet i Stillehavet. Men de landet omtrent der de hadde forventet å lande. Fordi beregningene var nøyaktige nok, selv om de ikke var eksakte. Quote Dere har sagt tidligere at Gud måtte være i stand til å lage en balljord selv med alle utfordringer med gravitasjon og annet. Men dette virker som enda et bevis på at alt ved en balljord er upraktisk. Fysikken beskriver jorda som den er (rund), men noen ganger er det ikke hensiktsmessig å ta i betraktning absolutt alle detaljer fordi de bare har en liten effekt. Naturen tar ikke hensyn til hva som er praktisk vs. upraktisk, eller enkelt vs. vanskelig. Den bare er. Så er det opp til naturvitenskapene å beskrive den som den er. Noen ganger holder det med en enkel beskrivelse, andre ganger må man til med en detaljert simulering. Endret 15. oktober 2021 av Arve Synden 4
fokkeslasken Skrevet 18. oktober 2021 Skrevet 18. oktober 2021 (endret) On 10/14/2021 at 4:39 PM, Andrè den gode said: Mer forklart lyset har ingen hastighet. Det er induksjon. Som faradays law of induction Induksjon? I hvilket medie og (med hva) er interaksjonen som drar nytte av induksjonen? Endret 18. oktober 2021 av fokkeslasken 1
fokkeslasken Skrevet 18. oktober 2021 Skrevet 18. oktober 2021 On 10/15/2021 at 9:47 PM, Budeia said: Dean Odle har noen lange foredrag, eller prekener om hemmelige dokumenter. Her er en kort video: Så heller se en youtube video hvor noen tolker innholdet enn å lese innholdet selv? Er dette den berømte flat jord "research" metodikken? 2 1 1
fokkeslasken Skrevet 19. oktober 2021 Skrevet 19. oktober 2021 (endret) On 10/14/2021 at 4:39 PM, Andrè den gode said: Mer forklart lyset har ingen hastighet. Det er induksjon. Som faradays law of induction Siden man på flat jord vis nok en gang fikk slengt ut enda et urelatert emne så kan man jo anbefale en godt skrevet artikkel om akkurat dette. Det tar ikke mange minuttene å lese og det er så godt skrevet på et meget folkelig nivå så man sitter igjen med en god forestilling om hva induksjon er og hvordan det fungerer. https://www.livescience.com/53509-faradays-law-induction.html Om noen etter å ha lest artikkelen kan fortelle meg hvordan dette på noen som helst måte passer med lys så forklar gjerne for jeg ser det ikke. Hvordan induksjon ikke har noen hastighet kunne jo være artig å høre også men vi får ta en ting om gangen. Endret 19. oktober 2021 av fokkeslasken 2
N-4K0 Skrevet 19. oktober 2021 Skrevet 19. oktober 2021 fokkeslasken skrev (45 minutter siden): Siden man på flat jord vis nok en gang fikk slengt ut enda et urelatert emne så kan man jo anbefale en godt skrevet artikkel om akkurat dette. Det tar ikke mange minuttene å lese og det er så godt skrevet på et meget folkelig nivå så man sitter igjen med en god forestilling om hva induksjon er og hvordan det fungerer. https://www.livescience.com/53509-faradays-law-induction.html Om noen etter å ha lest artikkelen kan fortelle meg hvordan dette på noen som helst måte passer med lys så forklar gjerne for jeg ser det ikke. Hvordan induksjon ikke har noen hastighet kunne jo være artig å høre også men vi får ta en ting om gangen. Jeg skummet gjennom denne og har generelt lite kunnskap om emnet, men jeg skjønner mer av dette enn argumentene for flat jord...
Budeia Skrevet 19. oktober 2021 Skrevet 19. oktober 2021 (endret) fokkeslasken skrev (På 18.10.2021 den 23.04): Så heller se en youtube video hvor noen tolker innholdet enn å lese innholdet selv? Det er det med å komme på å finne innholdet selv, og deretter finne det. Flat Jord-profilen Rob Skiba har gått bort. Nei & Nei. Endret 20. oktober 2021 av Budeia
Arve Synden Skrevet 19. oktober 2021 Skrevet 19. oktober 2021 29 minutes ago, Budeia said: Det er det med å komme på å finne innholdet selv, og deretter finne det. Duckduckgo gir deg rapporten i PDF-format som første treff(*) med et enkelt søk; NASA RP-1207. Samme med NASA report 1207 og NASA document 1207 eller rett og slett bare NASA 1207. Så "vanskelig" er den å finne. (*) hos meg ihvertfall 1
matteus Skrevet 19. oktober 2021 Skrevet 19. oktober 2021 Budeia skrev (2 timer siden): Det er det med å komme på å finne innholdet selv, og deretter finne det. Flat Jord-profilen Rob Skiba har gått bort. Nei & Nei. Rob Skiba var en av de første som tok "Non Rotating Earth" som et bevis på at jorda er flat. Han var også en profilert vaksinemotstander. Nå døde han av Covid 19. Trist for ham og hans familie. RIP.
N-4K0 Skrevet 20. oktober 2021 Skrevet 20. oktober 2021 Enda en som var vaksinemostander som er død av covid? Rart det der... Kondolanser til evt. familie selvsagt, men ikke noe sjokk når man er innbitt motstander av vaksiner
Serpentbane Skrevet 20. oktober 2021 Skrevet 20. oktober 2021 matteus skrev (14 timer siden): Rob Skiba var en av de første som tok "Non Rotating Earth" som et bevis på at jorda er flat. Han var også en profilert vaksinemotstander. Nå døde han av Covid 19. Trist for ham og hans familie. RIP. Det kan så være, men en sier for menneskeheten. Sånne folk er destruktive, og hans posisjon og valg personlig er en ting, men hvor mange andre har ikke mistet livet fordi de hører på ham?
nomore Skrevet 20. oktober 2021 Skrevet 20. oktober 2021 Serpentbane skrev (1 time siden): Det kan så være, men en sier for menneskeheten. Sånne folk er destruktive, og hans posisjon og valg personlig er en ting, men hvor mange andre har ikke mistet livet fordi de hører på ham? Jeg synes det er litt drøyt å omtale en person som dør som seier for menneskeheten. 1
Anbefalte innlegg
Opprett en konto eller logg inn for å kommentere
Du må være et medlem for å kunne skrive en kommentar
Opprett konto
Det er enkelt å melde seg inn for å starte en ny konto!
Start en kontoLogg inn
Har du allerede en konto? Logg inn her.
Logg inn nå