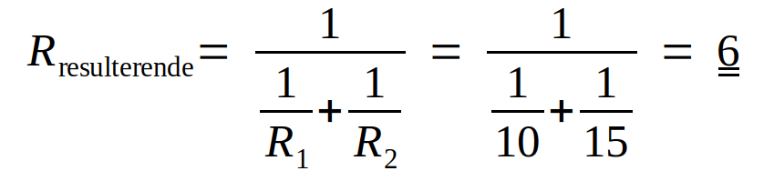
Mattegåte
-
Populær nå
-
Boikott USA! - Fortell om din daglige boikott fram mot mellomvalget 1 2 3 4 5
Av Simen1, i Politikk og samfunn
- 84 svar
- 1 498 visninger
-
- 1 638 svar
- 67 824 visninger
-
Er fagene psykiatri og klinisk psykologi basert på "tro" eller "vitenskap"? 1 2 3 4 5
Av arne22, i Religion, filosofi og livssyn
- 86 svar
- 2 847 visninger
-
-
Hvem er aktive 0 medlemmer
- Ingen innloggede medlemmer aktive

Anbefalte innlegg
Opprett en konto eller logg inn for å kommentere
Du må være et medlem for å kunne skrive en kommentar
Opprett konto
Det er enkelt å melde seg inn for å starte en ny konto!
Start en kontoLogg inn
Har du allerede en konto? Logg inn her.
Logg inn nå