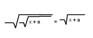
Uforståelig likning i 2MX
-
Populær nå
-
Kan man vurdere serier objektivt, eller er alt subjektivt? 1 2 3 4 7
Av Filmvenn, i TV-serier og -programmer
- 133 svar
- 1 275 visninger
-
- 75 svar
- 2 090 visninger
-
- 933 svar
- 14 432 visninger
-
- 18 951 svar
- 1 043 749 visninger
-
-
Hvem er aktive 0 medlemmer
- Ingen innloggede medlemmer aktive

Anbefalte innlegg
Opprett en konto eller logg inn for å kommentere
Du må være et medlem for å kunne skrive en kommentar
Opprett konto
Det er enkelt å melde seg inn for å starte en ny konto!
Start en kontoLogg inn
Har du allerede en konto? Logg inn her.
Logg inn nå