Matias Skrevet 25. oktober 2006 Skrevet 25. oktober 2006 Hmm, husker ikke hvordan man beviser det eller noe. Var på grunnkurs vi hadde om dette. Kalles vekstfaktor eller noe sånt, husker ikke uttrykket. Du finner det av formelen 1 + (p /100).
TOO TRILL Skrevet 25. oktober 2006 Skrevet 25. oktober 2006 Ja, har lærer om det nå på vgs. Men skjønte ikke hvordan jegs kulle gjøre akkuratt dette stykke på den måten. Klarer mange andre stykker der det er innblandet vekstfaktor. Thanks anyway
Matias Skrevet 25. oktober 2006 Skrevet 25. oktober 2006 Jepp, det er jo ikke så vanskelig egentlig. Lar du pengene stå ett år blir det: 5000 * 1,06 Lar du pengene stå to år blir det: 5000 * 1.06 * 1,06 = 5000 * 1,06^2 Lar du pengene stå tre år blir det: 5000 * 1,06 * 1,06 * 1,06 = 5000 * 1,06^3 Lar du pengene stå x antall år blir det: 5000 * 1,06^x
blackbrrd Skrevet 25. oktober 2006 Skrevet 25. oktober 2006 (endret) Hmm... Ser at det er 6 år siden sist jeg løste en matteoppgave på høgskolen nå. Skal jo kunne alt som har blitt nevnt her, men det er mye som er rimelig vagt... Må forresten si at kombinatorikk og sannsynlighetsregning er noe av de nyttigere emnene man har. Endret 25. oktober 2006 av blackbrrd
TOO TRILL Skrevet 25. oktober 2006 Skrevet 25. oktober 2006 Jepp, det er jo ikke så vanskelig egentlig. Lar du pengene stå ett år blir det: 5000 * 1,06 Lar du pengene stå to år blir det: 5000 * 1.06 * 1,06 = 5000 * 1,06^2 Lar du pengene stå tre år blir det: 5000 * 1,06 * 1,06 * 1,06 = 5000 * 1,06^3 Lar du pengene stå x antall år blir det: 5000 * 1,06^x 7149642[/snapback] Nå skjønte jeg det mye, mye bedre, takk!!
Zethyr Skrevet 25. oktober 2006 Skrevet 25. oktober 2006 Takk, Matias (kult navn btw) Det tenkte jeg ikke på, prøvde 5000*0.06*10, men det var tydeligvis feil. Men hvorfor 1.06? Jeg må ikke bare skrive det ned på papiret, jeg må også skjønne det. 7149519[/snapback] 1.06 = 1 + 0.06 1.06, altså det du har neste år, er lik det du har i år (1) pluss rentene (0.06).
blackbrrd Skrevet 25. oktober 2006 Skrevet 25. oktober 2006 % betyr hundrendedel. 6% betyr altså 6 hundrededeler, eller 6/100, evt 0,06. Når du skal legge på 6% rente på noe så må du ta det du har i utgangspunktet som er 100% eller 100/100 og legge på 6 hundrededeler, eller 106/100 eller 1,06. Dette er da det tallet du skal bruke til å gange med... ... eller noe sånt
Gunslingahgurrrl Skrevet 8. november 2006 Skrevet 8. november 2006 Hei, sliter litt med denne oppgaven: c)Løs likningen2e^2x + 4e^x = 6 (Hvor a^b selvsagt betyr "a opphøyd i b) Kan noen hjelpe meg med denne? Jeg har selv gjort en del forsøk, men er litt i tvil på hvorvidt om man faktisk kan bruke den metoden jeg brukte i min løsning (se under). Har ikke fasit siden dette er en innlevering på universitetet hvor jeg studerer, og kan derfor ikke se om jeg har rett eller ei. Hjelp mottas med takk. Her er mitt løsningsforslag: 2e^2x + 4e^x = 6 ln 2e^2x + ln 4e^x = ln 6 Se (1) ln 2 + ln e^2x + ln 4 + ln e^x = ln 6 Se (2) ln 2 + 2x*ln e + ln 4 + x*ln e = ln 6 Se (3) 2x + x = ln 6 - ln 2 - ln 4 3x = ln 6 - ln 2 - ln 4 Deler med 3 på begge sider x = (ln6 - ln2 - ln 4) / 3 x = - 0,096 x = - 0,1 (1) ln 2e^2x = ln (a * b) (2) ln a^x = x ln a (3) ln e = 1
Gunslingahgurrrl Skrevet 8. november 2006 Skrevet 8. november 2006 Heh, fant faktisk ut av det selv. Korrekt løsning: 2e^2x + 4e^x = 6 2e^2x + 4e^x - 6 = 0 Setter at t = e^x og at t^2 = e^2x Vi får da dette: 2t^2 + 4t - 6 = 0 Bruker så den vanlige abc-formelen: 2t^2 = a 4t = b -6 = c Får da: t1 = 1 og t2 = -3 Som er det samme som e^x = 1 og e^x = -3 e^x = 1 ln e^x = ln 1 x = ln 1 e^x = -3 Ingen løsning ettersom e^x > 0! e^x = 1 er eneste rette løsning.
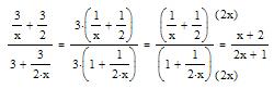
svamp Skrevet 14. november 2006 Forfatter Skrevet 14. november 2006 Har repetisjon fra 1-, 2- og 3MX nå. Trenger hjelp til denne styggingen: ((3/X) + (3/2)) / (3 + (3/2X)) Her må det være et eller annet triks jeg ikke husker, for å ta denne med enkle regler fikk jeg ikke til. 6756931[/snapback] Kan dette være riktig? 6760468[/snapback] Kom på denne oppgaven i dag, og prøvde igjen. Nå gikk det så meget bedre: Det var andre boller!
svamp Skrevet 16. november 2006 Forfatter Skrevet 16. november 2006 For de som vil ha en trigonometrisk utfordring eller kanskje bare vil le av de to stakkarslige høgskolestudentene som overså noe latterlig enkelt, hjelp meg med denne oppgaven: Finn den eksakte verdien av X. arcsin x = pi/3 + arctan(-1/3)
DrKarlsen Skrevet 17. november 2006 Skrevet 17. november 2006 Vi ser at x = sin(pi/3 + -arctan(1/3)) setter u = arctan(1/3) så jeg slipper å skrive det hele tiden x = sin(pi/3)*cos(u) - sin(u)*cos(pi/3) Vi vet at tan(u) = 1/3, dvs. cos(u) = 3sin(u). Samtidig vet vi at cos^2(u) + sin^2(u) = 1, dette fører til at sin(u) = 1/sqrt(10) og cos(u) = 3/sqrt(10) sin(pi/3) = sqrt(3)/2, cos(pi/3) = 1/2 Da har vi: sqrt(3)/2 * 3/sqrt(10) - 1/sqrt(10)*1/2 = 3/2*sqrt(3/10) - 1/2*1/sqrt(10) = 1/(2*sqrt(10)) * (3*sqrt(3) - 1)
Lukilock Skrevet 19. november 2006 Skrevet 19. november 2006 Hallo! Jeg har en oppgave som lyder som følgende:"Et par ski kostet 500kr, ble satt opp med 100kr i pris. Hvor mange prosent var denne økningnen?" Er det noen som kan hjelpe meg med denne oppgaven?....er ikke så veldig flink i matte... Tusen takk for alle svar Sempron
Torbjørn T. Skrevet 19. november 2006 Skrevet 19. november 2006 Delen av talet delt på heile talet gjev prosentfaktoren. Gonge med hundre og ein får prosenten. 100/500*100 = 20% auke.
2bb1 Skrevet 21. november 2006 Skrevet 21. november 2006 Heihei! Har matte-prøve i morgen, og lurer på en ting: Løysing ved rekning: Forstår alt ned til det som står i den røde ruten. Hva er det som skjer der? Alt etter der forstår jeg også.
svamp Skrevet 21. november 2006 Forfatter Skrevet 21. november 2006 Hei I den røde ruta brukes en av kvadratsetningene for å løse opp parantesen fra II over: (a-b)^2 = a^2 - 2ab + b^2 (Altså brukt på (27-3x)^2) Deretter (under) trekkes ligningen sammen.
Cannabiskopen Skrevet 21. november 2006 Skrevet 21. november 2006 (endret) Går i 10.Klasse og trenger hjelp til en del matteoppgaver. Her er første oppgave som jeg tror jeg løste selv: 1. I dag er prisen på en-1-fat olje (159 liter) på 60 $. Dollaren står i 6,50 Kr. Det blir antatt at når Kinas etterspørsel fortsetter å øke vil oljeprisen øke med 30 %, mens dollarkursen vil minske med 15 %. Hvordan vil det slå ut oljeprisen målt i norske kroner? 6.5*15/100 = 0.975. 6,5 - 0.975 = 5,525. 5,525*60 = 331,5. 331,5*30/100= 99,45. 331,5+99,45 = 430,95 Kr per fat. 430,95/159 = 2,710 KR pet liter Olje. (På verdensbasis?) Ville vært fint å fått tilbakemelding om jeg har regnet riktig! Oppgave 3: Ved start av en eventuell ny krig i Midt-østen tror man at det er følgende sannsynligheter for at prisutviklingen ut ifra dagens 60 $ per fat olje. - Ca 50 % sjanse for prisøkning på 15 $ - Ca 30 % sjanse for prisøkning på 20 $. - Ca 15 % sjanse for prisøkning på 35 $. - Ca 5 % sjanse for prisøkning på 50 %. Finn estimert pris ved hjelp av veid gjennomsnitt. Oppgave 5 (Vanskeligste tror jeg): To menn løfter ett fat med olje på 159 liter + en vekt på fatet på 5 KG, to meter opp på ett nytt oppbevaringssted. En annen mann ruller den tilsvarende vekten opp to meter ved å trille fatet opp på en rulle som ligger ca. 6 meter fra det stedet som stigen må settes opp. Regn ut kraften. Si hvordan dere gjør det så jeg forstår dere! Endret 21. november 2006 av BadBeer
Knast Skrevet 21. november 2006 Skrevet 21. november 2006 (endret) Oppgave 5 (Vanskeligste tror jeg):To menn løfter ett fat med olje på 159 liter + en vekt på fatet på 5 KG, to meter opp på ett nytt oppbevaringssted. En annen mann ruller den tilsvarende vekten opp to meter ved å trille fatet opp på en rulle som ligger ca. 6 meter fra det stedet som stigen må settes opp. Regn ut kraften. 7332177[/snapback] Starter med den enkleste (stusser forrsten litt på at dette er 10. og ikke GK matte): Regner med at vi kan gå utifra at 1 liter olje = 1 kg. De to første mennene: 159 * 1 kg + 5 kg = 164 kg Arbeid = kraft * vei * cos A (W=Fs*cos A) Kraft: 164 kg * 9,81 m/s/s= 1600 N Arbeid: 1600N*2m * cos 0 = 3,6 kJ Den andre mannen: Hypotenus = rot(kat1^2 + kat2^2) rot(6^2+2^2) = 6,32 m vinkel A = sin ^-1(2/6) = 19,5 grader. Arbeid: 1600 N*6,32m*cos 19,5 = 9532 J = 9,5 kJ edit: om det bare var snakk om kraften så ganger du massen (vekten) med gravitasjonen (9,81m/s/s).. Enheten er Newton (N). edit2: skjønte ikke helt oppgave 3. edit3: fant ingen feil i oppgaven din på 1, men synes ikke det konkrete spørsmålet i oppgaven var særlig godt, som i oppgave 3.. Endret 21. november 2006 av lathorv
Cannabiskopen Skrevet 21. november 2006 Skrevet 21. november 2006 (endret) Oppgave 5 (Vanskeligste tror jeg):To menn løfter ett fat med olje på 159 liter + en vekt på fatet på 5 KG, to meter opp på ett nytt oppbevaringssted. En annen mann ruller den tilsvarende vekten opp to meter ved å trille fatet opp på en rulle som ligger ca. 6 meter fra det stedet som stigen må settes opp. Regn ut kraften. 7332177[/snapback] Starter med den enkleste (stusser forrsten litt på at dette er 10. og ikke GK matte): Regner med at vi kan gå utifra at 1 liter olje = 1 kg. De to første mennene: 159 * 1 kg + 5 kg = 164 kg Arbeid = kraft * vei * cos A (W=Fs*cos A) Kraft: 164 kg * 9,81 m/s/s= 1600 N Arbeid: 1600N*2m * cos 0 = 3,6 kJ Den andre mannen: Hypotenus = rot(kat1^2 + kat2^2) rot(6^2+2^2) = 6,32 m vinkel A = sin ^-1(2/6) = 19,5 grader. Arbeid: 1600 N*6,32m*cos 19,5 = 9532 J = 9,5 kJ edit: om det bare var snakk om kraften så ganger du massen (vekten) med gravitasjonen (9,81m/s/s).. Enheten er Newton (N). edit2: skjønte ikke helt oppgave 3. edit3: fant ingen feil i oppgaven din på 1, men synes ikke det konkrete spørsmålet i oppgaven var særlig godt, som i oppgave 3.. 7332567[/snapback] Syntes også dette var vanskelig matte, og syntes også spørsmålene i oppgave 1 og 3 var bedritne, men tusen takk skal du ha for spørsmål 5 hvertfall. EDIT: Hva står egentlig Sin og Cos for? Vi har ikke lært dette i 10. Klasse. Endret 21. november 2006 av BadBeer
2bb1 Skrevet 21. november 2006 Skrevet 21. november 2006 (endret) Siden dere ikke har hatt om dette, er det sikkert ikke på den måten det skal løses. Kanskje dere skal ta en snarvei imens? Det fikk vi iallefal beskjed om (et annet emne da). Be læreren din forklare det for deg i morgen. Cos = CoSinus ? Sin = Sinus ? Endret 21. november 2006 av 2bb1
Anbefalte innlegg
Opprett en konto eller logg inn for å kommentere
Du må være et medlem for å kunne skrive en kommentar
Opprett konto
Det er enkelt å melde seg inn for å starte en ny konto!
Start en kontoLogg inn
Har du allerede en konto? Logg inn her.
Logg inn nå