- 
                Innlegg277
- 
                Ble med
- 
                Besøkte siden sist
Innholdstype
Profiler
Forum
Hendelser
Blogger
Om forumet
Alt skrevet av Dikedis
- 
	Port Hedland Council Votes to Suspend Pfizer and Moderna Covid Shots.mp4 Her/vedlagt er et viktig og megetsigende opptak fra et møte i Port Hedland i Western Australia i oktober 2024. Medlemmene i det som vel til en viss grad kan sammenlignes med et norsk kommunestyre (Port Hedland council) tar her opp og diskuterer de for dem helt nye og helt sjokkerende opplysningene om funn av massive nivåer av genetisk forurensning i ulike batcher av både Pfizer og Moderna, den mulige sammenhengen mellom de såkalte covid-vaksinene og en betydelig økning i tilfeller av kreft, m.m. Dette lokale council hadde tidligere i fjor høst sett den presentasjonen ved den meget anerkjente engelske professoren Angus Dalgleish som jeg har nevnt tidligere i denne tråden. For øvrig har Port Hedland-området opplevd en voldsom økning i antall dødsfall etter at covid-"vaksineringen" begynte for fullt. Det fortelles at man har gått fra ca. en begravelse i uka til syv. Slike økninger er noe som man også kan se at det snakkes om mange andre steder down under. Videre yrer det av horrible og tragiske historier om skadede og døde, hvis man går til ulike kanaler drevet av vanlige australere. Nå som vi snart kan markere at det er fem år siden korona-galskapen begynte, er det verdt å minne om følgende enkle fakta: -- Antallet dødsfall knyttet til sars-cov-2 i Norge i løpet av de første tolv månedene kom aldri en gang opp i det antallet dødsfall som FHI regner det som normalt at sesonginfluensaen forårsaker i løpet av en vinter/ca. et halvt år! Dette til tross for at dette ble framstilt i mediene som noe nær den nye Svartedauden, som grunnlag for å erklære en vedvarende nasjonal krisetilstand, og for at myndighetene kunne gripe inn i folks julefeiring, for eksempel. Dessuten var det stort sett kun de aller eldste som ble injisert med disse preparatene før senvinteren/våren 2021. -- Selv nærmere sommeren 2021, etter over ett år med massivt hysteri drevet av myndigheter og medier, var antallet dødsfall knyttet til covid fortsatt ikke i nærheten av å passere det antallet dødsfall som FHI mener ble forårsaket av den litt kraftige sesong-influensaen vinteren 2017/2018! -- Allerede høsten 2020 var det helt klart faren for å dø eller bli alvorlig syk av sars-cov-2 var FORSVINNENDE liten for alle normalt friske og sunne mennesker under ca. 50 år. For barn og unge under 18 var denne risikoen enda mye mindre, dvs. så og si ikke-eksisterende. Likevel skapte myndigheter og medier et massivt press også på barn og unge og yngre voksne hva injisering angikk, et press som fortsatt til helt inn i 2022, da det burde ha vært krystallklart for alle intelligente mennesker at alle med livet foran seg burde holde seg langt unna alle korona-sprøyter, for å være før var. Dette presset var og er utilgivelig. -- Videre anbefalte man unge kvinner å ta gjentatte doser av dette heksebrygget, til tross for at tusenvis opplevde alle slags rare og abnormale blødninger, m.m. Dette var og er ondskap og/eller vettløshet på et nivå som er vanskelig å fatte. -- På toppen av det hele gjorde man Ivermectin/Scatol, som man alt høsten 2020 burde ha visst hadde svært god effekt på covid/korona, ekstremt dyrt og/eller vanskelig å få tak i. Det er grunn til å tro at et flertall av dødsfallene som etter sigende ble forårsaket av covid, kunne ha vært avverget ved hjelp av Ivermectin. @Selfuniverse Du er altfor spak og tilgivende, for her snakker vi om alvorlige forbrytelser og forsømmelser. For min del kan jeg si at et samfunn og institusjoner som begår noe slikt som det som ble begått i perioden fra mars 2020 til våren 2022 et et samfunn og institusjoner man ikke lengre kan ta på alvor. https://www.northwesttelegraph.com.au/news/north-west-telegraph/port-hedland-council-carries-vaccine-contamination-motion-c-16386482
- 
	  Galopperende strømpriser, like dyrt som dieselaggregatDikedis svarte på Vokteren sitt emne i Politikk og samfunn https://www.aftenbladet.no/lokalt/i/4Blqvq/opplysninger-til-aftenbladet-senterpartiet-kaller-inn-til-pressetreff-i-stavanger-for-aa-snakke-om-stroem Senterpartiet kaller inn til pressetreff i Stavanger for å snakke om strøm Torsdag 30. januar 2025 Når bruddet i regjeringen er endelig bekreftet, vil Senterpartiet straks markere tydelig avstand fra Arbeiderpartiet på strømfeltet. Geir Pollestad vil invitere til pressetreff i Stavanger allerede torsdag ettermiddag. Jonas Vikingstad Journalist Senterpartiet har nå sendt ut innkalling til pressetreff på togstasjonen i Stavanger klokken 14.00. Tema for pressemøtet er nasjonal kontroll over krafta, lave og stabile strømpriser og regjeringssituasjonen, heter det i innkallingen.
- 744 svar
- 
	- 1
- 
					
						
					
							  
 
 
- 
	Noe å tenke på for dere som er så gærne at dere virkelig tror dette er "1933" på nytt igjen: https://www.ibtimes.com/trump-admin-orders-immediate-stop-all-foreign-aid-makes-special-exception-israel-3760893 Trump Admin Orders Immediate Stop to All Foreign Aid, But Makes Special Exception for Israel The move could have "life or death consequences" By Allison Walker Published 01/24/25 AT 6:42 PM EST Trump’s Secretary of State Marco Rubio, announced Friday the immediate halt of nearly all foreign aid spending for 90 days, sparing Israel. In an unprecedented move that stunned diplomats, Trump's Secretary of State Marco Rubio, announced Friday the immediate halt of nearly all foreign aid spending for 90 days, sparing only Israel. The directive requires all U.S. diplomatic and consular staff to issue "stop-work orders" on existing foreign assistance programs. This action targets previously approved grants, including military aid, and is causing widespread confusion within the State Department. "State just totally went nuclear on foreign assistance," one State Department official told Politico. The guidance extends beyond President Donald Trump's earlier executive order, which called for a 90-day pause on foreign aid grants. Rubio's memo explicitly halts disbursements, including funds for key allies such as Ukraine (pictured,) Jordan, and Taiwan. While Trump's directive left ambiguity about its scope, Rubio's memo explicitly halts disbursements, including funds for key allies such as Ukraine, Jordan, and Taiwan, per Politico. However, the document specifies that military financing for Israel and Egypt, along with emergency food aid and other "legitimate expenses incurred prior to the date of this guidance," will continue. The special carve-out for Israel, a long-standing U.S. ally, has drawn scrutiny. The guidance allows some flexibility and states that decisions must align with "terms of the relevant award." Yet, this clause may open the U.S. government to potential lawsuits over breached contracts, according to both current and former State Department officials. -------------------------------------------------------- https://edition.cnn.com/2025/01/28/middleeast/israel-far-right-trump-gaza-plan-analysis-intl/index.html ‘When he wants something, it happens.’ Israel’s far right applauds Trump’s Gaza plan Analysis by Tim Lister, CNN Updated 12:00 PM EST, Tue January 28, 2025 US President Donald Trump has doubled down on his proposal to “clean out” Gaza by removing Palestinians living there to Jordan and Egypt, a plan which has appalled some allies but has been quickly embraced by Israel’s far right. Having first floated the idea Saturday, Trump warmed to his theme Monday, saying of Gaza’s population: “I’d like to get them living in an area where they can live without disruption and revolution and violence so much.” He has not specified whether such emigration would be voluntary. The forcible displacement of civilians “can constitute a war crime and/or crime against humanity” depending on the context, according to the United Nations. “I think you can get people living in areas that are a lot safer and maybe a lot better and maybe a lot more comfortable,” he said on Monday. U.S. President Donald Trump suggests Gaza needs to be "cleaned out" by sending its residents to neighboring countries. Middle East expert Khaled Elgindy talks to Eleni Giokos about the impact Trump's controversial comments could have on the Arab world. Related video: Trump: Gaza is ‘literally a demolition site right now’ While there has been no response from the Israeli Prime Minister’s Office, the idea was applauded by far-right Israeli politicians. Finance Minister Bezalel Smotrich, who leads the Religious Zionism party, said Trump had recognized that Gaza was “a breeding ground for terror,” and “there is no doubt that in the long run, encouraging migration is the only solution that will bring peace and security to the residents of Israel and alleviate the suffering of Gaza’s Arab residents.” Smotrich, who also has a ministerial position in the defense ministry, said he was working on a plan to implement Trump’s vision. “When he wants something, it happens,” he said. Smotrich has been advocating for what he calls “the voluntary emigration of Gaza Arabs to countries around the world” since 2023. ----------------------------------------------- https://forward.com/fast-forward/618034/miriam-adelson-funding-trump-israel/ After hesitating, Miriam Adelson commits more than $100 million to Trump’s campaign Her late husband Sheldon Adelson didn’t cut checks in 2016 for Trump until September of that year Former President Donald Trump awards the Presidential Medal of Freedom to Dr. Miriam Adelson on Nov. 16, 2018. By Jacob Kornbluh May 30, 2024 Miriam Adelson, the wife of the late billionaire Sheldon Adelson, has reportedly pledged to spend more than $100 million to support former President Donald Trump in the upcoming general election after staying neutral in the Republican presidential primaries this year. Adelson, an Israeli-born physician who specializes in substance abuse, is set to finance a rejuvenated pro-Trump super PAC, Preserve America, which was initially formed for Trump’s reelection bid in 2020, Politico reported Thursday. The Adelsons contributed $90 million to Trump in that election cycle. Sheldon Adelson, the casino magnate who died in 2021, was the most generous single donor for Trump in 2016 — spending $20 million. But he didn’t cut checks until September of that year, and leveraged his support to demand that Trump announce the relocation of the U.S. embassy to Jerusalem when he won. -------------------- Og så var det "Elon" . . . Elon er et hebraisk ord/navn: https://biblehub.com/hebrew/436.htm Om det betyr det som det kan bety, vet jeg ikke. ------------------ Blir dette virkelig "America First"? Eller kan det tenkes at det blir "Israel First"? Det vet vi om noen måneder.
- 
	Ja, så er den et faktum -- den store (?) tråden om kvinner over 55 eller deromkring som åpenbart aldri har lært noe særlig om oppførsel og selvkontroll, eller som har kvittet seg med det de måtte ha lært om slike temaer i løpet av de fem til seks tiårene de utrolig nok har tilbrakt på denne kloden. Jeg får framheve at jeg overhodet ikke har noe imot kvinner generelt, hverken eldre eller yngre. 💓 Tvert imot, jeg elsker dem, og for alt dere vet, kan det hende jeg er kvinne selv, eller har tenkt å bli det i framtiden. 😉 Grunnen til at jeg lager et ny tråd om akkurat dette temaet, er at jeg i løpet av de siste årene er blitt en smule sjokkert (selv om det egentlig ikke er noe som sjokkerer meg lengre) over oppførselen til en del veldig godt voksne kvinner, inkludert damer som ser ut som de er i 60-årene eller begynnelsen av 70-årene. En kan akseptere og tilgi veldig mye hva tenåringer og jenter i 20-årene og begynnelsen av 30-årene angår, for de har jo ikke så mye livserfaring, og det er jo blitt en kultur i vår tid for å "slå ut håret" blant damer som er unge, eller som ennå har noe av ungdommen i behold. Men når det gjelder damer som er gamle nok til å ha 25 eller 30 år gamle "barn", og som åpenbart ikke er unge i noen som helst forstand lengre, hverken aldersmessig eller biologisk, ja, da venter man på en måte litt mer. Det gjør i hvert fall jeg. Man venter litt modenhet, litt selvbeherskelse, litt intelligens og refleksjon, litt kvinnelighet, litt eleganse, litt visdom. Derfor hever øyebrynene seg uvergelig noen ekstra hakk når en ser eller kommer ut for eldre damer som oppfører seg som "gærne" ungjenter, og som tydeligvis ikke har så mye som et snev av folkeskikk og selvkontroll. Jeg tenker ikke spesielt på dating-situasjoner eller nære relasjoner her. Jeg tenker rett og slett på slikt som man kan observere når man er ute blant folk, som i byen. Det er ikke så mange av slike personer, heldigvis, men de gjør inntrykk, og dermed virker det fort som om de er flere enn de egentlig er. Jeg legger for eksempel merke til at en del eldre damer lever på og for "ryktebørsen", og stadig skravler høylytt seg imellom om hva det nå måtte være de har hørt, eller hva som er siste utvikling i en "sak", uten å kvie seg det minste for å videreformidle det som ofte er sludder og vås eller store overdrivelser eller helt ensidige framstillinger, og uten å stille et eneste virkelig kritisk spørsmål. Burde de ikke ha lært litt om hvordan slarv fungerer i løpet av sitt lange liv, og burde de ikke tenke over hvordan de selv var da de var unge, og at man ikke kan ta alt som sies for god fisk? Et annet eksempel er eldre damer som bare hoster og nyser rett ut i lufta når de er syke, selv midt blant folk, som i travle butikker, og et tredje eksempel er godt voksne kvinner som opptrer heller rått og aggressivt (ord, kroppsspråk, ansiktsuttrykk). Det kunne være fristende å si til dem at de skulle ha fått en mye strengere oppdragelse -- da hadde det kanskje blitt "folk" av dem. Eller kanskje det heller var for lite kjærlighet der de vokste opp, og at de derfor er blitt sure og bitre. Eller kanskje radial feminisme har fylt dem med et agg mot status quo. Jeg tror i hvert fall det var mye mindre av slikt før, for en del år siden. Eller det var mindre synlig. Del gjerne erfaringer!
- 
	Rent geografisk betraktet er det mer naturlig at Grønland tilhører enten Canada eller USA. Dette at en diger isbre og noen eskimoer på den andre siden av havet nå tilhører Danmark, skyldes utelukkende at Danmark i praksis overtok Norge og alle Norges territorier (for å si det veldig enkelt). Senere måtte Danmark si fra seg en rekke områder som Danmark opprinnelig hadde fått hånd over da Norge var blitt en del av Danmark. Noen av de mest kjente av disse er Jemtland, Herjedalen og Bohuslen. Men i dag, i 2025, har vi vel viktigere forhold å bekymre oss over enn regioner tapt for flere hundre år siden -- som det at det ikke fødes mange nok barn til at den norske befolkningen kan opprettholdes. Jeg tror Grønland, på grunn av sin plassering, kan være ønsket av krefter i Amerika på grunn av tanken om å etablere et "Iron Dome" missil-forsvar for USA, a la det som nå eksisterer i Israel. Men det kan også være andre ideer som ligger bak. Hvis man kan si at Grønland egentlig burde tilhøre Norge, siden det var norske bosetninger der så sent som på 1400-tallet, så ville det vel gi mer mening at USA gir Norge en eller annen form for "deal", f.eks. i form av teknologi eller industri, i bytte mot amerikansk overtakelse. For øvrig var det trolig alvorlige, ikke-menneskeskapte klimaendringer som var en av årsakene til at de norske bygdene på Grønland til slutt døde helt ut. Utover på 1300-tallet eller deromkring ble klimaet gradvis kaldere og kaldere, det ble mer og mer is i fjordene, og det ble vanskeligere og vanskeligere å ha noen form for landbruk på Grønland. Dette var begynnelsen på den kalde perioden i nåværende interglasial som ikke tok slutt før på slutten av 1800-tallet. Noen tror at de siste nordmennene på Grønland kan ha valgt å seile vestover og sørover, til Amerika, og da de der forsvant inn i ulike indianerstammer.
- 
	... så sett dere inn i hva Holocen/The Holocene er, og hvordan den har vært, før dere prøver å mene noe om "klimaendringer" som har funnet sted siden "Den (bitte)lille istid" tok slutt, for pluss/minus 150 år siden (andre halvdel av 1800-tallet), og de målingene som IPCC bruker som grunnlag for påstandene om "global oppvarming" (siden den gang) begynte, og lytt gjerne til noe avslappende imens, som denne fine sangen om inneværende interglasial: 😉
- 
	En kjapp en: Den siste tiden har en kunnet lese om kvinner "som er dr***lei" menn som vil ha Trump. Vel, vi er mange av begge kjønn som er dr***lei vulgære og narcissistiske "eiere av en vagina" (et av de nye, politisk korrekte uttrykkene) som ikke en gang gidder å sette seg inn i hvorfor svært mange helt vanlige og greie amerikanere (inkludert millioner av kvinner) i fjor høst så Donald J. Trump som eneste mulighet til å redde det som er igjen av landet sitt. Talen mandag 20. januar kan du lese her:
- 
	Trumps tale under innsettelsen sist mandag er fortsatt en tale alle som ikke alt har gjort det bør lese. Hvis Sannheten er idealet, er det FØRSTE en må gjøre å gå til kildene, til de originale uttalelsene, istedenfor å stole på formidlere og mellom-menn. Det gjelder ALLE områder -- det sosiale liv, eldre og nyere historie, forskning, etc., etc. Her, under den engelske teksten, finner du også en oversettelse til norsk av det Trump sa.
- 21 svar
- 
	- 3
- 
					
						
					
							  
 
- 
	
		- trump
- donald trump
- 
					(og 53 andre) 
					Merket med: - trump
- donald trump
- tale
- innsettelse
- inauguration
- inaugural address
- oversettelse
- 20. januar 2025
- usa
- amerika
- justisdepartementet
- frihet
- stolthet
- patriotisme
- nasjonen
- korrupsjon
- sumpen
- grunnloven
- kriser
- kriger
- økende kriminalitet
- north carolina
- los angeles
- helsevesenet
- nedgangstid
- 250 år
- frigjøringsdagen
- valget
- bred støtte
- minoriteter
- martin luther king
- drøm
- samhold
- illegal innvandring
- invasjon
- grensen mot mexico
- narkotika
- immigrasjon
- inflasjonen
- olje og gass
- energi
- elbiler
- elbil-tvang
- industri
- ytringsfrihet
- rettsstat
- vaksinetvang
- fred
- panama
- hyllest
- pionerene
- seier
- manifest destiny
- vg
- stavanger aftenblad
 
 
 
- 
	  Galopperende strømpriser, like dyrt som dieselaggregatDikedis svarte på Vokteren sitt emne i Politikk og samfunn Jørg Arne Jørgensen er en rogalending som ofte leverer gode og interessante kommentarer. Jeg er ikke helt enig i alt han skriver denne gangen, men totalt sett er det veldig mye bra her. Interessant nok nevner han akkurat det poenget som jeg selv nevnte her for en del uker siden, og som jeg tok opp i andre innlegg alt i 2020, nemlig at Norge har gjort mer enn nesten alle andre land i verden for å skifte over til "fornybar" energi, og gjorde dette alt for mange tiår siden, med de mange og ofte gigantiske vannkraftutbyggingene som da fant sted. Så dette med at vi må "skynde oss" med å få gjennomført et "grønt skifte" er noe forbannet tull, siden våre besteforeldre og oldeforeldre og tippoldeforeldre ofret enorme mengder natur, dvs. utallige store og små vassdrag, og i en del tilfeller hele setergrender og bygder, samt diverse gode fiskeressurser, på vannkraftens alter. Så kom ikke her og påstå at vi nå må eller bør ofre enda mye mer av norsk natur og norske landskap på den latterlige og svært arealkrevende vindindustriens alter. Vannkraft-utbyggingene ødela veldig mye, men de såkalte "vindparkene", som er alt annet enn parker, er enda mye verre, siden de ikke bare krever og medfører en nesten total ødeleggelse av naturen der de bygges, men påvirker omkringliggende natur og landskap i en sone på flere mil omkring dem! Det begynner med utsprengning av tusenvis av lastebil-lass med stein, fortsetter med byggingen av milevis med splitter nye anleggsveier, og avsluttes med reisningen av master som ofte er nesten like høye som småfjellene og toppene de blir plassert på, og med roterende turbiner på størrelse på vingene til jetfly. Som om ikke det var nok, er mastene utstyrt med grelle varsellys som blinker hvitt så snart det blir litt tåkete eller dunkelt, og med enda grellere røde lys som blinker uavlatelig helt fra mørkets frambrudd og til neste morgen. Ser en for eksempel utover Rogaland fra av en av høydene ved Stavanger by når det er mørkt, ser en lett hele hærskarer av blinkende røde lys både i nord, ved Kårstø og Hervik i Tysvær ()på den andre siden av Boknafjorden, og i sør, ved Sikvaland og Undheim på Høg-Jæren (der Arne Garborg en gang vandret), og i sørøst, ved den vakre Noredalen i Sandnes kommune. Noen av lysene blinker fort og i takt, litt som dem på en harddisk som jobber, andre blinker på forskjellige måter, helt i utakt, og atter andre blinker roligere, som fyrlykter ute i havet. Pent er det i hvert fall ikke. Det ødelegger nattens stemninger, forstyrrer stjernehimmelen, og gir assosiasjoner til de dystopiske scenene i Blade Runner. Ja, faktisk. Videre er dette slik det ser ut på flere mils avstand. Hvordan tror dere det er å ha hus eller hytte eller gård rett ved denne skiten? Min konklusjon er denne: F**n ta dere som har ansvaret for at vindindustri fikk et slikt omfang som det nå har fått i Rogaland, og f**n ta dere som synes det er "greit" å vandalisere enda mer av Norge på denne måten, og som ikke en gang mener f.eks. områder som Lysefjorden, Steigen, Lofoten og Rendalen må holde frie for dette svineriet! Jeg har hele mitt liv vært glad naturen, og som voksen har jeg tidsvis vært involvert i naturvern, og så kommer dere og bruker "naturvern" som argument for å gjennomføre den største ødeleggelsen av natur i hele vår historie? Strømmen og tilliten GJESTEKOMMENTAR: Nå strides regjeringspartiene om tilslutning til EUs 4. energimarkedspakke. Kablene i seg selv er ikke hovedproblemet, men bortforklaringer, kunnskapsløshet og usanne fortellinger tærer på tilliten. Jørg Arne Jørgensen Skribent og religionshistoriker Publisert: 25. januar 2025 https://www.aftenbladet.no/meninger/kommentar/i/XjnBLm/norge-tok-det-groenne-skiftet-for-hundre-aar-siden Kommentar Dette er en kommentar. Kommentarer skrives av Aftenbladets kommentatorer, redaktører og gjestekommentatorer, og gir uttrykk for deres egne meninger og analyser. På mange måter er det ingen dum idé å bygge kabler til Europa. Men det er de store konsekvensene av dette som virker så lite gjennomtenkt. Mange, som professor i samfunnsøkonomi Anders Skonhoft, har pekt på at Statnett i utredningen av kablene i 2013 stort sett fokuserte på den økte lønnsomheten for kraftprodusentene, men overså konsekvensene for forbrukerne, landet som helhet og konkurransekraften vår. Merkelige begrunnelser Politikerne solgte kablene inn som at det handlet om forsyningssikkerhet. Uten kabler, het det, måtte vi ha bygget masse ny kraft for å sikre oss mot «tørrår» – et ord som plutselig satt løst i munnen blant politikere. Én ting er at det gir liten mening å snakke om tørrår i et land med lagringskapasitet på flere år i de største magasiner, en annen er at et hypotetisk tørrår kunne vært avhjulpet ved midlertidig å strupe litt inn på vår kraftkrevende industri (som bruker mer strøm enn hele Danmark). Og selvsagt at vi allerede hadde stor forsyningssikkerhet, særlig med kablene til overskuddslandet Sverige. Få lavere strømregning. Sjekk Penger.no sin oversikt over de billigste strømavtalene Og hvis forsyningssikkerhet var målet, hvorfor bygget vi kabler til land med liten og synkende elproduksjon? Vi visste jo at Tyskland skulle avvikle kjernekraften. Hvorfor prioriterte vi ikke overføringskapasitet innad i landet, spesielt til Nord-Norge, som ofte sitter på inneklemt strøm? Og den enorme overføringskapasiteten mer enn antyder at hovedtanken var storstilt eksport, ikke forsyningssikkerhet. Man har også underkommunisert utfordringene med uregulerbar vindkraft i systemet. Selv om NVE har advart mot at vi i framtiden kan få mangel på effekt når det ikke blåser, ser det heller ikke ut som man tar det på alvor. Det kan nemlig ikke løses med mer vindkraft. Når det er vindstille, har det ingenting å si om vi har 10 eller 10.000 vindturbiner. Åpne grenser jevner ut prisene Og når man endelig innrømmer at prissmitten er en realitet, innbiller man seg at utbygging av enda mer kraft vil bøte på problemet. At det ikke er slik det virker, ser vi ved at vår del av landet har et enormt kraftoverskudd, men kablene gir oss likevel høyere priser enn resten av landet. Forstår man ikke konseptet frihandel? Man kan ikke på samme tid inngå i et felles marked med fri flyt av strøm, bygge kabler med ekstremt stor overføringskapasitet, og på samme tid ha lavere strømpriser enn andre land. Man må nesten bestemme seg. Så later man som at strøm er en fleksibel vare. Men det er det jo ikke. I realiteten er det en av de minst fleksible varene vi har. Paradokset er at husholdningene anspores til å monitorere og fordele strømforbruket i sanntid for ikke å belaste nettet, når effekten er småtterier i forhold til den ustyrlige vindkraften vi har invitert inn i systemet. Enda mer paradoksalt blir det når kostnadene for å forsterke nettet veltes over på husholdningene via nettleien, når det på ingen måte er vi som er ansvarlig for det økte forbruket eller den økte effekten. Grønn sinke eller strømmangel Det verserer også en usann forestilling om at vi er en sinke i omstillingen til grønn energi, når vi i realiteten er milevis foran de aller fleste i verden. Vi går dessuten mot akutt strømkrise, roper politikere, vindkraftlobby og næringsliv i kor, men sannheten er at vi er suverent i verdenstoppen på strømproduksjon pr. innbygger, med fire–fem ganger så mye som de fleste land i Europa, med et stort jevnlig overskudd. Bare overskuddet vårt i fjor tilsvarte halvparten av Danmark totale elproduksjon. Problemet er selvsagt at vi har bestemt oss for å bruke store mengder strøm. Den fikse ideen om at mer kraft og datasentre, batterifabrikker og annen strømslukende industri er det eneste verden trenger, og at det er vi som skal ta på oss denne rollen, er merkelig. Det ville for så vidt vært greit nok hvis dette hadde folkelig forankring, men da måtte politikerne våget å selge det inn som hva det er: Å rasere natur for å bli en råvareprodusent av strøm, og bruke den til kraftkrevende prosjekter som datalagring for amerikanske tek-giganter, eller for å ta opp konkurransen med Kinas gigantiske batteriproduksjon. Er det virkelig den rette politikken for et høykostland med en høyt utdannet befolkning, og storslagne natur- og landskapskvaliteter? Det lyder mer som et u-land, hvis det er lov å si i dag. En strømkoloni. Kommet for å bli Ja, når man i økende grad baserer seg på uregulerbar vind- og solkraft, er det både sympatisk og nødvendig å ha utveksling mellom landegrensene. Jeg tror det er en dårlig idé, som vil skade vårt omdømme, ikke å fornye kablene til Danmark. Vi er allerede langt inn i en fundamental endring av energipolitikken. Vi må enten leve med at vi er integrert i et felles strømmarked, og at vi dermed mistet vår konkurransefordel – eller i alle fall prøve å forhandle fram en viss grad av politisk kontroll over kraftflyten og prissettingen, med utgangspunkt i vår unike situasjon som et land som for hundre år siden tok det grønne skiftet i kraftproduksjonen, og som allerede har elektrifisert det meste. Vi har satset alt på ett kort – elektrisitet i form av vannkraft som brukes til livsnødvendigheter som å varme opp husene. Da er strømpriser og sikker forsyning mye viktigere for oss enn andre land. Vi har ingen back-up i form av gasskraftverk eller noe, og ingen mekanismer for å tøyle eksport fra skrinne vannmagasiner, annet enn å prise ekstremt høyt. Og fornybardirektivet i EUs 4. energimarkedspakke, som nå splitter regjeringen, vil i alle fall øke presset på meningsløs og naturskadelig vindkraft i Norge. Jørg Arne Jørgensens gjestekommentarer Andre gjestekommentarer
- 744 svar
- 
	- 4
- 
					
						
					
							  
 
 
- 
	Engelskmannen, hobby-historikeren og forfatteren Ralph Ellis har for øvrig noen tanker om hvorfor istidene (glasialene og interglasialene) kommer og går som de gjør som er vel verdt å lytte til: Han er ikke noen klimaforsker, nei, og jeg påstår ikke at det han sier her må være korrekt, men han er en svært belest og intelligent eldre mann, som har utviklet noen veldig interessante hypoteser på flere områder. Han er også, som han selv flere ganger har innrømmet, frimurer (eller en (om)reisende mann, som de av og til kaller seg selv), noe som nok gir han litt andre perspektiver på ulike spørsmål enn de mest vanlige, og kanskje også noen heller lite utbredte innsikter. ♟️🏁
- 
	De av dere som er interessert i sannheten, og ikke bare i å papegøye tidens "fads", medie-påstander eller populære forestillinger, inviteres til å lytte til dette offentlige møtet, en slags pressekonferanse, om situasjonen i og ved Los Angeles. Det høres ut som om en kan hoppe til ca. 19 minutter inn uten å gå glipp av så mye. Uansett hva man måtte mene om klimaendringer -- og skal man kunne mene noe om det, må man i det minste ha brukt litt tid på å danne seg et grovt bilde av alle de naturlige og uunngåelige klimaendringene som har funnet sted opp igjennom hele Jordens lange historie (se mine andre innlegg) -- så kan man si følgende om det som har skjedd i California: Det er helt UFATTELIG at et land og en stormakt som USA, som har eller burde ha enorme ressurser av alle slag til disposisjon (teknologiske, militære, etc.) har latt branner som dette utarte slik at de har ødelagt eller skadet tusenvis av hjem på kort tid. Det skyldes helt klart dårlig planlegging over tid, og vanstyre da katastrofen inntraff. I naturen er mindre skogbranner og denslags en naturlig og til en viss grad nødvendig foreteelse. Det kunne man se gode dokumentarer om på glaneboksen da jeg vokste opp. Over tid akkumuleres det store mengder dødt og brennbart materiale, særlig der klimaet er slik at dette ikke råtner opp så lett. Dette trenger i utgangspunktet å brenne før det blir så mye av det at det blir en kjempebrann som ødelegger alt når det omsider antennes. Det finnes også arter som trenger mindre branner av og til for å kunne trives. Men i vår moderne tid er det blitt slik, både i USA og andre steder, at så og si alle branner blir slokket før de kommer ordentlig igang. Det fører over tid til at enorme mengder "tinder" ("knusk") samler seg opp, både på bakken og høyere opp. Når det så til slutt, etter mange år, kommer en brann som ikke blir slokket før den rekker å få tak, blir resultatet et gigantisk inferno av flammer, som ødelegger alt, også trær som ville ha overlevd tidligere tiders mindre, ganske hyppige, naturlige branner. Det er en av det egentlige årsakene til storbrannene i vår tid (se også dem i Australia tidlig på 2000-tallet, f.eks.), ikke "global oppvarming". https://rumble.com/v6d69g1-watch-president-trump-round-table-at-a-fire-house-in-los-angeles-12425.html?e9s=src_v1_ucp
- 249 svar
- 
	- 2
- 
					
						
					
							  
 
 
- 
	Enda et: Dette viser utstrekningen til Preussen/Prussia og så Det tyske keiserriket, før 1918. Er det kanskje noe her som ser litt annerledes ut enn i dag?
- 
	Tillegg til det over: Kart fra Britannica som illustrerer Russlands ekspansjon inn i Det ottomanske imperiet (venstre del, sørover)
- 
	Se om dere klarer å finne et "Slovakia" -- eller et "Tsjekkia", for den saks skyld -- eller et uavhengig Ukraina med noe a la dagens grenser, eller et uavhengig Hviterussland, på dette kartet fra Britannica, hvis dere fokuserer på 1796. 😉 Det representerer langt på vei også situasjonen tidlig på 1900-tallet, før Første verdenskrig, og før Revolusjonen i Russland og Avtalen i Speilsalen. Realiteten er at store deler av Øst-Europa og Balkan (samt, indirekte, Hellas) kan takke Det russiske imperiet for sin gradvise befrielse fra det despotiske ottomanske imperiet, og, for øvrig, at Krim var russisk helt fra slutten av 1700-tallet og fram til Sovjetunionen gjorde en grenseendring, godt over 150 år senere! Se også om dere klarer å finne et uavhengig Polen med strandlinje mot Østersjøen. 😊
- 
	"Tre typer kriminelle gjenger avdekket i Rogaland" "Flere av dem har tilknytninger til svenske gjenger." [Those naughty Swedes again, huh? 🤣🤣🤣] "Politiinspektør Thor Magne Løge sier at seksjonene for organisert kriminalitet og for økonomi kriminalitet, så vel som seksjon for etterretning og analyse, og seksjon for digitalt politiarbeid, blir styrket med totalt 23 nye stillinger." Cornelius Munkvik Journalist Jarle Aasland Fotograf Publisert: Publisert: 24. januar 2025 – De kriminelle nettverkene som har fotfeste i Sør-Vest politidistrikt, har kapasitet til å forsyne Rogaland med flere titalls kilo narkotika månedlig. De er voldelige, har tilgang til våpen, og bruker frykt som en del av sin forretningsmodell. [Oi-da. Det høres ikke helt bra ut? Litt som de meksikanske narkotika-kartellene som under Biden har skapt kjempeproblemer i USA?] Det sier politiinspektør Thor Magne Løge, lederen av felles enhet for etterretning og etterforskning i Sør-Vest politidistrikt. https://www.aftenbladet.no/lokalt/i/73Jg23/tre-typer-kriminelle-gjenger-avdekket-i-rogaland Kommentar: De er de som har spekulert på om det at man tilsynelatende bare lar kriminaliteten øke, utgjør en klassisk "tese-antitese-syntese"-prosess, villet av dem som trekker i trådene ovenifra. Kriminalitet, vold og utrygghet øker -- "løsningen" blir så lansert; økt overvåkning, mindre privatliv og mindre frihet; folk flest takker ja fordi de ikke orker mer; den nasjonale og globale new/one world teknokratiske overvåkningsstaten tar form. (Noen sier gamle Hegel her blir misbrukt.)
- 536 svar
- 
	- 4
- 
					
						
					
							  
- 
					
						
					
							  
 
 
- 
	Siden noen av mediene, både her til lands og i utlandet, har valgt å publisere ekstremt ensidige og polariserende, og i noen tilfeller direkte løgnaktige, framstillinger av hva som fant sted under innsettelsen av Donald J. Trump 20. januar, legger jeg inn den nye amerikanske presidentens innsettelsestale/inaugural address her, inkludert som oversatt til norsk av Google Translate sin AI, slik at den vanlige nordmann lett kan se hva det var Trump sa, hvorfor den begeistret alle som er glede i det klassiske Amerika, og hvorfor selv en upartisk observatør må kalle det en god tale. Dette blir ganske langt, så derfor legges det inn som en egen tråd. Påminnelse: Du kan se talen i sin helhet, som et video-opptak, her: https://rumble.com/v6bgkq7-full-speech-the-inauguration-of-donald-j.-trump-as-the-47th-president-of-th.html?e9s=src_v1_ucp Kilde til transcript av talen: https://www.msn.com/en-us/news/politics/read-the-full-transcript-of-donald-trump-s-inauguration-speech/ar-AA1xxQyb Here is the full text of Donald Trump’s address at his inauguration as the 47th president on Monday, provided by The White House Vice President Vance, Speaker Johnson, Senator Thune, Chief Justice Roberts, justices of the Supreme Court of the United States, President Clinton, President Bush, President Obama, President Biden, Vice President Harris, and my fellow citizens, the golden age of America begins right now. From this day forward, our country will flourish and be respected again all over the world. We will be the envy of every nation, and we will not allow ourselves to be taken advantage of any longer. During every single day of the Trump administration, I will, very simply, put America first. Our sovereignty will be reclaimed. Our safety will be restored. The scales of justice will be rebalanced. The vicious, violent, and unfair weaponization of the Justice Department and our government will end. And our top priority will be to create a nation that is proud, prosperous, and free. America will soon be greater, stronger, and far more exceptional than ever before. I return to the presidency confident and optimistic that we are at the start of a thrilling new era of national success. A tide of change is sweeping the country, sunlight is pouring over the entire world, and America has the chance to seize this opportunity like never before. But first, we must be honest about the challenges we face. While they are plentiful, they will be annihilated by this great momentum that the world is now witnessing in the United States of America. As we gather today, our government confronts a crisis of trust. For many years, a radical and corrupt establishment has extracted power and wealth from our citizens while the pillars of our society lay broken and seemingly in complete disrepair. We now have a government that cannot manage even a simple crisis at home while, at the same time, stumbling into a continuing catalogue of catastrophic events abroad. It fails to protect our magnificent, law-abiding American citizens but provides sanctuary and protection for dangerous criminals, many from prisons and mental institutions, that have illegally entered our country from all over the world. We have a government that has given unlimited funding to the defense of foreign borders but refuses to defend American borders or, more importantly, its own people. Our country can no longer deliver basic services in times of emergency, as recently shown by the wonderful people of North Carolina -- who have been treated so badly -- and other states who are still suffering from a hurricane that took place many months ago or, more recently, Los Angeles, where we are watching fires still tragically burn from weeks ago without even a token of defense. They’re raging through the houses and communities, even affecting some of the wealthiest and most powerful individuals in our country -- some of whom are sitting here right now. They don’t have a home any longer. That’s interesting. But we can’t let this happen. Everyone is unable to do anything about it. That’s going to change. We have a public health system that does not deliver in times of disaster, yet more money is spent on it than any country anywhere in the world. And we have an education system that teaches our children to be ashamed of themselves -- in many cases, to hate our country despite the love that we try so desperately to provide to them. All of this will change starting today, and it will change very quickly. My recent election is a mandate to completely and totally reverse a horrible betrayal and all of these many betrayals that have taken place and to give the people back their faith, their wealth, their democracy, and, indeed, their freedom. From this moment on, America’s decline is over. Our liberties and our nation's glorious destiny will no longer be denied. And we will immediately restore the integrity, competency, and loyalty of America's government. Over the past eight years, I have been tested and challenged more than any president in our 250-year history, and I've learned a lot along the way. The journey to reclaim our republic has not been an easy one -- that, I can tell you. Those who wish to stop our cause have tried to take my freedom and, indeed, to take my life. Just a few months ago, in a beautiful Pennsylvania field, an assassin’s bullet ripped through my ear. But I felt then and believe even more so now that my life was saved for a reason. I was saved by God to make America great again. Thank you. Thank you. Thank you very much. That is why each day under our administration of American patriots, we will be working to meet every crisis with dignity and power and strength. We will move with purpose and speed to bring back hope, prosperity, safety, and peace for citizens of every race, religion, color, and creed. For American citizens, January 20th, 2025, is Liberation Day. It is my hope that our recent presidential election will be remembered as the greatest and most consequential election in the history of our country. As our victory showed, the entire nation is rapidly unifying behind our agenda with dramatic increases in support from virtually every element of our society: young and old, men and women, African Americans, Hispanic Americans, Asian Americans, urban, suburban, rural. And very importantly, we had a powerful win in all seven swing states and the popular vote, we won by millions of people. To the Black and Hispanic communities, I want to thank you for the tremendous outpouring of love and trust that you have shown me with your vote. We set records, and I will not forget it. I’ve heard your voices in the campaign, and I look forward to working with you in the years to come. Today is Martin Luther King Day. And his honor -- this will be a great honor. But in his honor, we will strive together to make his dream a reality. We will make his dream come true. Thank you. Thank you. Thank you. National unity is now returning to America, and confidence and pride is soaring like never before. In everything we do, my administration will be inspired by a strong pursuit of excellence and unrelenting success. We will not forget our country, we will not forget our Constitution, and we will not forget our God. Can’t do that. Today, I will sign a series of historic executive orders. With these actions, we will begin the complete restoration of America and the revolution of common sense. It’s all about common sense. First, I will declare a national emergency at our southern border. All illegal entry will immediately be halted, and we will begin the process of returning millions and millions of criminal aliens back to the places from which they came. We will reinstate my Remain in Mexico policy. I will end the practice of catch and release. And I will send troops to the southern border to repel the disastrous invasion of our country. Under the orders I sign today, we will also be designating the cartels as foreign terrorist organizations. And by invoking the Alien Enemies Act of 1798, I will direct our government to use the full and immense power of federal and state law enforcement to eliminate the presence of all foreign gangs and criminal networks bringing devastating crime to U.S. soil, including our cities and inner cities. As commander in chief, I have no higher responsibility than to defend our country from threats and invasions, and that is exactly what I am going to do. We will do it at a level that nobody has ever seen before. Next, I will direct all members of my cabinet to marshal the vast powers at their disposal to defeat what was record inflation and rapidly bring down costs and prices. The inflation crisis was caused by massive overspending and escalating energy prices, and that is why today I will also declare a national energy emergency. We will drill, baby, drill. America will be a manufacturing nation once again, and we have something that no other manufacturing nation will ever have -- the largest amount of oil and gas of any country on earth -- and we are going to use it. We’ll use it. We will bring prices down, fill our strategic reserves up again right to the top, and export American energy all over the world. We will be a rich nation again, and it is that liquid gold under our feet that will help to do it. With my actions today, we will end the Green New Deal, and we will revoke the electric vehicle mandate, saving our auto industry and keeping my sacred pledge to our great American autoworkers. In other words, you’ll be able to buy the car of your choice. We will build automobiles in America again at a rate that nobody could have dreamt possible just a few years ago. And thank you to the autoworkers of our nation for your inspiring vote of confidence. We did tremendously with their vote. I will immediately begin the overhaul of our trade system to protect American workers and families. Instead of taxing our citizens to enrich other countries, we will tariff and tax foreign countries to enrich our citizens. For this purpose, we are establishing the External Revenue Service to collect all tariffs, duties, and revenues. It will be massive amounts of money pouring into our Treasury, coming from foreign sources. The American dream will soon be back and thriving like never before. To restore competence and effectiveness to our federal government, my administration will establish the brand-new Department of Government Efficiency. After years and years of illegal and unconstitutional federal efforts to restrict free expression, I also will sign an executive order to immediately stop all government censorship and bring back free speech to America. Never again will the immense power of the state be weaponized to persecute political opponents -- something I know something about. We will not allow that to happen. It will not happen again. Under my leadership, we will restore fair, equal, and impartial justice under the constitutional rule of law. And we are going to bring law and order back to our cities. This week, I will also end the government policy of trying to socially engineer race and gender into every aspect of public and private life. We will forge a society that is color-blind and merit-based. As of today, it will henceforth be the official policy of the United States government that there are only two genders: male and female. This week, I will reinstate any service members who were unjustly expelled from our military for objecting to the COVID vaccine mandate with full back pay. And I will sign an order to stop our warriors from being subjected to radical political theories and social experiments while on duty. It’s going to end immediately. Our armed forces will be freed to focus on their sole mission: defeating America’s enemies. Like in 2017, we will again build the strongest military the world has ever seen. We will measure our success not only by the battles we win but also by the wars that we end -- and perhaps most importantly, the wars we never get into. My proudest legacy will be that of a peacemaker and unifier. That’s what I want to be: a peacemaker and a unifier. I’m pleased to say that as of yesterday, one day before I assumed office, the hostages in the Middle East are coming back home to their families. Thank you. America will reclaim its rightful place as the greatest, most powerful, most respected nation on earth, inspiring the awe and admiration of the entire world. A short time from now, we are going to be changing the name of the Gulf of Mexico to the Gulf of America and we will restore the name of a great president, William McKinley, to Mount McKinley, where it should be and where it belongs. President McKinley made our country very rich through tariffs and through talent -- he was a natural businessman -- and gave Teddy Roosevelt the money for many of the great things he did, including the Panama Canal, which has foolishly been given to the country of Panama after the United States -- the United States -- I mean, think of this -- spent more money than ever spent on a project before and lost 38,000 lives in the building of the Panama Canal. We have been treated very badly from this foolish gift that should have never been made, and Panama's promise to us has been broken. The purpose of our deal and the spirit of our treaty has been totally violated. American ships are being severely overcharged and not treated fairly in any way, shape, or form. And that includes the United States Navy. And above all, China is operating the Panama Canal. And we didn’t give it to China. We gave it to Panama, and we’re taking it back. Above all, my message to Americans today is that it is time for us to once again act with courage, vigor, and the vitality of history's greatest civilization. So, as we liberate our nation, we will lead it to new heights of victory and success. We will not be deterred. Together, we will end the chronic disease epidemic and keep our children safe, healthy, and disease-free. The United States will once again consider itself a growing nation -- one that increases our wealth, expands our territory, builds our cities, raises our expectations, and carries our flag into new and beautiful horizons. And we will pursue our manifest destiny into the stars, launching American astronauts to plant the Stars and Stripes on the planet Mars. Ambition is the lifeblood of a great nation, and, right now, our nation is more ambitious than any other. There’s no nation like our nation. Americans are explorers, builders, innovators, entrepreneurs, and pioneers. The spirit of the frontier is written into our hearts. The call of the next great adventure resounds from within our souls. Our American ancestors turned a small group of colonies on the edge of a vast continent into a mighty republic of the most extraordinary citizens on Earth. No one comes close. Americans pushed thousands of miles through a rugged land of untamed wilderness. They crossed deserts, scaled mountains, braved untold dangers, won the Wild West, ended slavery, rescued millions from tyranny, lifted billions from poverty, harnessed electricity, split the atom, launched mankind into the heavens, and put the universe of human knowledge into the palm of the human hand. If we work together, there is nothing we cannot do and no dream we cannot achieve. Many people thought it was impossible for me to stage such a historic political comeback. But as you see today, here I am. The American people have spoken. I stand before you now as proof that you should never believe that something is impossible to do. In America, the impossible is what we do best. From New York to Los Angeles, from Philadelphia to Phoenix, from Chicago to Miami, from Houston to right here in Washington, D.C., our country was forged and built by the generations of patriots who gave everything they had for our rights and for our freedom. They were farmers and soldiers, cowboys and factory workers, steelworkers and coal miners, police officers and pioneers who pushed onward, marched forward, and let no obstacle defeat their spirit or their pride. Together, they laid down the railroads, raised up the skyscrapers, built great highways, won two world wars, defeated fascism and communism, and triumphed over every single challenge that they faced. After all we have been through together, we stand on the verge of the four greatest years in American history. With your help, we will restore America promise and we will rebuild the nation that we love -- and we love it so much. We are one people, one family, and one glorious nation under God. So, to every parent who dreams for their child and every child who dreams for their future, I am with you, I will fight for you, and I will win for you. We’re going to win like never before. Thank you. Thank you. Thank you. Thank you. In recent years, our nation has suffered greatly. But we are going to bring it back and make it great again, greater than ever before. We will be a nation like no other, full of compassion, courage, and exceptionalism. Our power will stop all wars and bring a new spirit of unity to a world that has been angry, violent, and totally unpredictable. America will be respected again and admired again, including by people of religion, faith, and goodwill. We will be prosperous, we will be proud, we will be strong, and we will win like never before. We will not be conquered, we will not be intimidated, we will not be broken, and we will not fail. From this day on, the United States of America will be a free, sovereign, and independent nation. We will stand bravely, we will live proudly, we will dream boldly, and nothing will stand in our way because we are Americans. The future is ours, and our golden age has just begun. Thank you. God bless America. Thank you all. Thank you. Thank you very much. Thank you very much. Thank you. Thank you. Oversettelse til norsk ved Google Translate (norsk versjon av Trumps innsettelsestale) Her er hele teksten til Donald Trumps tale ved innsettelsen som den 47. presidenten på mandag, levert av Det hvite hus Visepresident Vance, speaker Johnson, senator Thune, chief justice Roberts, dommere ved USAs høyesterett, president Clinton, president Bush, president Obama, president Biden, visepresident Harris og mine medborgere, Amerikas gullalder begynner akkurat nå. Fra denne dagen av vil landet vårt blomstre og bli respektert igjen over hele verden. Vi vil misunne enhver nasjon, og vi vil ikke la oss utnytte lenger. I løpet av hver eneste dag av Trump-administrasjonen vil jeg, ganske enkelt, sette Amerika først. Vår suverenitet vil bli gjenvunnet. Sikkerheten vår vil bli gjenopprettet. Skalaen for rettferdighet vil bli rebalansert. Den ondskapsfulle, voldelige og urettferdige bevæpningen av justisdepartementet og vår regjering vil ta slutt. Og vår topp-prioritet vil være å skape en nasjon som er stolt, velstående og fri. Amerika vil snart bli større, sterkere og langt mer eksepsjonell enn noen gang før. Jeg vender tilbake til presidentskapet med tillit til og optimistisk om at vi er i starten av en spennende ny æra med nasjonal suksess. En bølge av forandring skyller over landet, sollys strømmer over hele verden, og Amerika har sjansen til å gripe denne muligheten som aldri før. Men først må vi være ærlige om utfordringene vi står overfor. Mens de er rikelig, vil de bli tilintetgjort av denne store fremdriften som verden nå er vitne til i USA. Mens vi samles i dag, står regjeringen vår overfor en tillitskrise. I mange år har et radikalt og korrupt etablissement hentet makt og rikdom fra våre innbyggere mens grunnpilarene i samfunnet vårt lå knust og tilsynelatende i fullstendig forfall. Vi har nå en regjering som ikke kan håndtere selv en enkel krise hjemme, samtidig som vi snubler inn i en kontinuerlig katalog over katastrofale hendelser i utlandet. Den klarer ikke å beskytte våre storslåtte, lovlydige amerikanske borgere, men gir et fristed og beskyttelse for farlige kriminelle, mange fra fengsler og mentalinstitusjoner, som ulovlig har kommet inn i landet vårt fra hele verden. Vi har en regjering som har gitt ubegrensede midler til forsvar av utenlandske grenser, men som nekter å forsvare amerikanske grenser eller, enda viktigere, sitt eget folk. Landet vårt kan ikke lenger levere grunnleggende tjenester i nødsituasjoner, som nylig vist av de fantastiske menneskene i North Carolina – som har blitt behandlet så dårlig – og andre stater som fortsatt lider av en orkan som fant sted for mange måneder siden eller, mer nylig, Los Angeles, hvor vi ser branner fortsatt tragisk brenne fra uker siden uten engang et tegn på forsvar. De raser gjennom husene og lokalsamfunnene, og påvirker til og med noen av de rikeste og mektigste individene i landet vårt – noen av dem sitter her akkurat nå. De har ikke noe hjem lenger. Det er interessant. Men vi kan ikke la dette skje. Alle klarer ikke å gjøre noe med det. Det kommer til å endre seg. Vi har et offentlig helsesystem som ikke leverer i tider med katastrofe, men det brukes mer penger på det enn noe land hvor som helst i verden. Og vi har et utdanningssystem som lærer barna våre å skamme seg - i mange tilfeller å hate landet vårt til tross for kjærligheten vi prøver så desperat å gi dem. Alt dette vil endre seg fra og med i dag, og det vil endre seg veldig raskt. Mitt nylige valg er et mandat til å fullstendig og fullstendig reversere et fryktelig svik og alle disse mange svikene som har funnet sted og å gi folket tilbake deres tro, deres rikdom, deres demokrati, og faktisk deres frihet. Fra dette øyeblikket er USAs tilbakegang over. Våre friheter og vår nasjons strålende skjebne vil ikke lenger bli nektet. Og vi vil umiddelbart gjenopprette integriteten, kompetansen og lojaliteten til USAs regjering. I løpet av de siste åtte årene har jeg blitt testet og utfordret mer enn noen president i vår 250-årige historie, og jeg har lært mye på veien. Reisen for å gjenvinne republikken vår har ikke vært enkel – det kan jeg fortelle deg. De som ønsker å stoppe vår sak har prøvd å ta min frihet og faktisk å ta livet av meg. For bare noen måneder siden, i et vakkert Pennsylvania-felt, rev en snikmorderkule gjennom øret mitt. Men jeg følte det da og tror enda mer nå som livet mitt ble reddet av en grunn. Jeg ble frelst av Gud for å gjøre Amerika stort igjen. Takk. Takk. Tusen takk. Derfor vil vi hver dag under vår administrasjon av amerikanske patrioter jobbe for å møte enhver krise med verdighet og makt og styrke. Vi vil bevege oss med hensikt og fart for å bringe tilbake håp, velstand, sikkerhet og fred for borgere av enhver rase, religion, farge og tro. For amerikanske statsborgere er 20. januar 2025 frigjøringsdagen. Det er mitt håp at vårt nylige presidentvalg vil bli regnet som det største og mest betydningsfulle valget i vårt lands historie. Som seieren vår viste, forener hele nasjonen seg raskt bak agendaen vår med dramatisk økning i støtte fra praktisk talt alle deler av samfunnet vårt: unge og gamle, menn og kvinner, afroamerikanere, latinamerikanske amerikanere, asiatiske amerikanere, urbane, forstadsområder, landlige. Og veldig viktig, vi hadde en kraftig seier i alle de syv svingstatene og den populære avstemningen, vi vant av millioner av mennesker. Til de svarte og latinamerikanske samfunnene vil jeg takke dere for den enorme utstrømningen av kjærlighet og tillit som dere har vist meg med deres stemme. Vi satte rekorder, og jeg glemmer det ikke. Jeg har hørt stemmene dine i kampanjen, og jeg ser frem til å samarbeide med deg i årene som kommer. I dag er det Martin Luther King-dagen. Og hans ære -- dette vil være en stor ære. Men til hans ære vil vi sammen strebe for å gjøre drømmen hans til virkelighet. Vi skal gjøre drømmen hans til virkelighet. Takk. Takk. Takk. Nasjonal enhet vender nå tilbake til Amerika, og selvtilliten og stoltheten stiger som aldri før. I alt vi gjør, vil administrasjonen min være inspirert av en sterk streben etter fortreffelighet og ustanselig suksess. Vi vil ikke glemme landet vårt, vi vil ikke glemme grunnloven vår, og vi vil ikke glemme vår Gud. Kan ikke gjøre det. I dag vil jeg signere en rekke historiske executive orders. Med disse handlingene vil vi begynne den fullstendige gjenopprettingen av Amerika og revolusjonen av sunn fornuft. Alt handler om sunn fornuft. Først vil jeg erklære en nasjonal nødsituasjon ved vår sørlige grense. All ulovlig innreise vil umiddelbart bli stoppet, og vi vil starte prosessen med å returnere millioner og millioner av kriminelle utlendinger tilbake til stedene de kom fra. Vi vil gjeninnføre min Remain in Mexico-policy. Jeg vil avslutte praksisen med fang og slipp. Og jeg vil sende tropper til den sørlige grensen for å slå tilbake den katastrofale invasjonen av landet vårt. I henhold til ordrene jeg signerer i dag, vil vi også utpeke kartellene som utenlandske terrororganisasjoner. Og ved å påkalle Alien Enemies Act av 1798, vil jeg be vår regjering om å bruke den fulle og enorme makten til føderal og statlig rettshåndhevelse for å eliminere tilstedeværelsen av alle utenlandske gjenger og kriminelle nettverk som bringer ødeleggende kriminalitet til amerikansk jord, inkludert våre byer og indre byer. Som øverstkommanderende har jeg ikke noe høyere ansvar enn å forsvare landet vårt mot trusler og invasjoner, og det er akkurat det jeg skal gjøre. Vi vil gjøre det på et nivå som ingen noen gang har sett før. Deretter vil jeg be alle medlemmer av mitt kabinett å samle de enorme maktene de har til rådighet for å beseire det som var rekordinflasjon og raskt få ned kostnader og priser. Inflasjonskrisen ble forårsaket av massivt overforbruk og eskalerende energipriser, og det er derfor jeg i dag også vil erklære en nasjonal energikrise. Vi skal bore, baby, bore. Amerika vil bli en produksjonsnasjon igjen, og vi har noe som ingen annen produksjonsnasjon noensinne vil ha - den største mengden olje og gass i noe land på jorden - og vi kommer til å bruke det. Vi bruker den. Vi vil senke prisene, fylle våre strategiske reserver opp igjen helt til toppen og eksportere amerikansk energi over hele verden. Vi vil bli en rik nasjon igjen, og det er det flytende gullet under føttene våre som vil bidra til å gjøre det. Med handlingene mine i dag vil vi avslutte Green New Deal, og vi vil oppheve mandatet for elbiler, redde bilindustrien vår og holde mitt hellige løfte til våre store amerikanske bilarbeidere. Med andre ord, du vil kunne kjøpe bilen du ønsker. Vi vil bygge biler i Amerika igjen i en hastighet som ingen kunne ha drømt om mulig for bare noen få år siden. Og takk til bilarbeiderne i vår nasjon for deres inspirerende tillitserklæring. Vi gjorde det enormt med deres stemme. Jeg vil umiddelbart begynne overhalingen av vårt handelssystem for å beskytte amerikanske arbeidere og familier. I stedet for å skattlegge våre innbyggere for å berike andre land, vil vi tariff og skattlegge utlandet for å berike våre innbyggere. For dette formålet etablerer vi den eksterne inntektstjenesten for å samle inn alle tariffer, avgifter og inntekter. Det vil være enorme mengder penger som strømmer inn i statskassen vår, som kommer fra utenlandske kilder. Den amerikanske drømmen er snart tilbake og trives som aldri før. For å gjenopprette kompetanse og effektivitet til vår føderale regjering, vil administrasjonen min etablere det splitter nye departementet for myndighetseffektivitet. Etter år og år med ulovlige og grunnlovsstridige føderale anstrengelser for å begrense ytringsfriheten, vil jeg også signere en executive order om umiddelbart å stoppe all statlig sensur og bringe tilbake ytringsfriheten til Amerika. Aldri igjen vil statens enorme makt bli våpen til å forfølge politiske motstandere - noe jeg vet noe om. Vi vil ikke la det skje. Det vil ikke skje igjen. Under mitt lederskap vil vi gjenopprette rettferdig, likeverdig og upartisk rettferdighet under den konstitusjonelle rettsstaten. Og vi skal bringe lov og orden tilbake til byene våre. Denne uken vil jeg også avslutte regjeringens politikk med å prøve å sosialt konstruere rase og kjønn i alle aspekter av det offentlige og private liv. Vi skal smi et samfunn som er fargeblindt og merittbasert. Fra i dag vil det heretter være den offisielle politikken til USAs regjering at det kun er to kjønn: mann og kvinne. Denne uken vil jeg gjeninnsette alle tjenestemedlemmer som urettmessig ble utvist fra militæret vårt for å protestere mot COVID-vaksinemandatet med full etterbetaling. Og jeg vil signere en ordre om å stoppe våre krigere fra å bli utsatt for radikale politiske teorier og sosiale eksperimenter mens de er på vakt. Det vil ta slutt umiddelbart. Våre væpnede styrker vil bli frigjort til å fokusere på sitt eneste oppdrag: å beseire USAs fiender. Som i 2017 skal vi igjen bygge det sterkeste militæret verden noen gang har sett. Vi vil måle suksessen vår ikke bare etter kampene vi vinner, men også etter krigene vi avslutter – og kanskje viktigst av alt, krigene vi aldri kommer inn i. Min stolteste arv vil være en fredsstifter og forener. Det er det jeg ønsker å være: en fredsstifter og en forener. Jeg er glad for å kunne si at fra i går, en dag før jeg tiltrådte vervet, kommer gislene i Midtøsten hjem til familiene sine. Takk. Amerika vil gjenvinne sin rettmessige plass som den største, mektigste, mest respekterte nasjonen på jorden, og inspirere ærefrykt og beundring fra hele verden. Om kort tid kommer vi til å endre navnet på Mexicogolfen til Gulf of America, og vi vil gjenopprette navnet til en stor president, William McKinley, til Mount McKinley, hvor det burde være og hvor det hører hjemme . President McKinley gjorde landet vårt veldig rikt gjennom tollsatser og gjennom talent - han var en naturlig forretningsmann - og ga Teddy Roosevelt pengene for mange av de store tingene han gjorde, inkludert Panamakanalen, som dumt nok har blitt gitt til landet Panama etter United States -- USA -- jeg mener, tenk på dette -- brukte mer penger enn noen gang brukt på et prosjekt før og mistet 38 000 liv i bygningen av Panamakanalen. Vi har blitt behandlet veldig dårlig av denne tåpelige gaven som aldri skulle vært gitt, og Panamas løfte til oss er brutt. Hensikten med vår avtale og ånden i vår traktat har blitt totalt brutt. Amerikanske skip blir alvorlig overladet og behandlet ikke rettferdig på noen måte, form eller form. Og det inkluderer den amerikanske marinen. Og fremfor alt er det Kina som driver Panamakanalen. Og vi ga den ikke til Kina. Vi ga den til Panama, og vi tar den tilbake. Fremfor alt er mitt budskap til amerikanere i dag at det er på tide for oss igjen å handle med mot, handlekraft og vitaliteten til historiens største sivilisasjon. Så når vi frigjør nasjonen vår, vil vi lede den til nye høyder av seier og suksess. Vi lar oss ikke avskrekke. Sammen vil vi få slutt på den kroniske sykdomsepidemien og holde barna våre trygge, sunne og sykdomsfrie. USA vil igjen regne seg selv som en voksende nasjon - en som øker vår rikdom, utvider vårt territorium, bygger våre byer, hever våre forventninger og bærer flagget vårt inn i nye og vakre horisonter. Og vi vil forfølge vår åpenbare skjebne inn i stjernene, og lansere amerikanske astronauter for å plante stjernene og stripene på planeten Mars. Ambisjon er livsnerven til en stor nasjon, og akkurat nå er vår nasjon mer ambisiøs enn noen annen. Det er ingen nasjon som vår nasjon. Amerikanere er oppdagere, byggere, innovatører, gründere og pionerer. Grensens ånd er skrevet inn i våre hjerter. Oppfordringen til det neste store eventyret runger fra sjelen vår. Våre amerikanske forfedre gjorde en liten gruppe kolonier på kanten av et enormt kontinent til en mektig republikk med de mest ekstraordinære innbyggerne på jorden. Ingen kommer i nærheten. Amerikanerne presset tusenvis av miles gjennom et ulendt land av utemmet villmark. De krysset ørkener, klatret fjell, trosset utallige farer, vant det ville vesten, avsluttet slaveriet, reddet millioner fra tyranni, løftet milliarder fra fattigdom, utnyttet elektrisitet, splittet atomet, lanserte menneskeheten til himmelen og satte universet av menneskelig kunnskap inn i håndflaten på den menneskelige hånden. Hvis vi jobber sammen, er det ingenting vi ikke kan gjøre og ingen drøm vi ikke kan oppnå. Mange trodde det var umulig for meg å iscenesette et så historisk politisk comeback. Men som du ser i dag, her er jeg. Det amerikanske folket har talt. Jeg står foran deg nå som et bevis på at du aldri skal tro at noe er umulig å gjøre. I Amerika er det umulige det vi gjør best. Fra New York til Los Angeles, fra Philadelphia til Phoenix, fra Chicago til Miami, fra Houston til akkurat her i Washington, D.C., ble landet vårt smidd og bygget av generasjonene av patrioter som ga alt de hadde for våre rettigheter og for vår frihet. De var bønder og soldater, cowboyer og fabrikkarbeidere, stålarbeidere og kullgruvearbeidere, politifolk og pionerer som presset på, marsjerte fremover og lot ingen hindring beseire deres ånd eller deres stolthet. Sammen la de ned jernbanene, reiste skyskraperne, bygde store motorveier, vant to verdenskriger, beseiret fascismen og kommunismen og seiret over hver eneste utfordring de sto overfor. Etter alt vi har vært gjennom sammen, står vi på grensen til de fire største årene i amerikansk historie. Med din hjelp vil vi gjenopprette det amerikanske løftet og vi vil gjenoppbygge nasjonen vi elsker - og vi elsker den så mye. Vi er ett folk, en familie og en strålende nasjon under Gud. Så til alle foreldre som drømmer for barnet sitt og hvert barn som drømmer for fremtiden sin, jeg er med dere, jeg vil kjempe for dere, og jeg vil vinne for dere. Vi kommer til å vinne som aldri før. Takk. Takk. Takk. Takk. De siste årene har vår nasjon lidd mye. Men vi skal bringe den tilbake og gjøre den flott igjen, større enn noen gang før. Vi vil være en nasjon uten like, full av medfølelse, mot og eksepsjonalisme. Vår kraft vil stoppe alle kriger og bringe en ny enhetsånd til en verden som har vært sint, voldelig og totalt uforutsigbar. Amerika vil bli respektert igjen og beundret igjen, inkludert av mennesker med religion, tro og god vilje. Vi vil være velstående, vi vil være stolte, vi vil være sterke, og vi vil vinne som aldri før. Vi vil ikke bli erobret, vi vil ikke bli skremt, vi vil ikke bli knust, og vi vil ikke mislykkes. Fra denne dagen av vil USA være en fri, suveren og uavhengig nasjon. Vi vil stå tappert, vi vil leve stolte, vi vil drømme frimodig, og ingenting vil stå i veien for oss fordi vi er amerikanere. Fremtiden er vår, og vår gullalder har akkurat begynt. Takk. Gud velsigne Amerika. Takk alle sammen. Takk. Tusen takk. Tusen takk. Takk. Takk. -------------
- 21 svar
- 
	- 3
- 
					
						
					
							  
- 
					
						
					
							  
 
- 
	
		- trump
- donald trump
- 
					(og 53 andre) 
					Merket med: - trump
- donald trump
- tale
- innsettelse
- inauguration
- inaugural address
- oversettelse
- 20. januar 2025
- usa
- amerika
- justisdepartementet
- frihet
- stolthet
- patriotisme
- nasjonen
- korrupsjon
- sumpen
- grunnloven
- kriser
- kriger
- økende kriminalitet
- north carolina
- los angeles
- helsevesenet
- nedgangstid
- 250 år
- frigjøringsdagen
- valget
- bred støtte
- minoriteter
- martin luther king
- drøm
- samhold
- illegal innvandring
- invasjon
- grensen mot mexico
- narkotika
- immigrasjon
- inflasjonen
- olje og gass
- energi
- elbiler
- elbil-tvang
- industri
- ytringsfrihet
- rettsstat
- vaksinetvang
- fred
- panama
- hyllest
- pionerene
- seier
- manifest destiny
- vg
- stavanger aftenblad
 
 
 
- 
	O Man ... they are so damn ... RIGHT! Det er noe med unge damer og skyggelue som bare får begge hjernehalvdelene til å rope i unison: That's my kinda girl! Eller hva synes dere? Med en spesiell slengkyss-hilsen til de super-pripne og paranoide tullingene der ute. Dette er egentlig en reklame for øl. Likte du denne, vil du kanskje også like: Om dette ikke skulle bli en Mexico-mur med det første, kan en i hvert fall få seg et money-shot. 😉
- 
	Ærlig talt, Red Frostraven -- du viser her at hverken du eller den du siterer vet noe eller vil innrømme noe av substans om realitetene i det amerikanske politiske landskapet. Dere framstår begge som hysteriske og paranoide. Virkeligheten er at Trump både er og har vært svært, svært Israel-vennlig, og at han og Benjamin Netanyahu er, eller i hvert fall framstår som, "best buddies". Se f.eks.: "Your complete guide to Trump’s Jewish advisers and pro-Israel cabinet" "Trump’s new cabinet will include Mike Huckabee, Marco Rubio, and other loyalists with strong pro-Israel stances" https://forward.com/news/674101/trump-cabinet-israel-rubio-huckabee-jewish/ Merk at The Forward er en avis av og for jødiske amerikanere. Og så har vi Pete Hegseth: La oss nå se nærmere på sitatet du gav: "As a descendant of Ashkenazi Jewish immigrants who thankfully left their home countries of Slovakia, Russia, Ukraine, and Belarus a few decades before Hitler came to power, it brings me great anxiety and sadness to be making a comparison between the next president of the United States and a man who most certainly would have slaughtered my ancestors if given the chance." Et av spørsmålene jeg kunne ha lyst til å stille, er når forfedrene til denne personen forlot disse områdene. Hvis vi antar at det var to tiår før 1933, altså i 1913, burde personen heller prise seg lykkelig over at forfedrene forlot Russland og territoriet til det russiske imperiet akkurat tidsnok til å unngå det ekstremt blodige utbruddet av den kommunistiske/bolsjevistiske revolusjonen i 1917. En må lure på hvorfor han ikke nevner kommunist-revolusjonen og dens helt grufulle konsekvenser med ett eneste ord, og isteden hopper til 1933, som er et år som ingen kan forstå med mindre man ser det i lys av Den røde terroren; drapene på millioner av sivile, den systematiske raseringen av russisk kultur, etc., som da hadde pågått nesten uavbrutt i godt over et tiår. Det kan vel ikke ha noe å gjøre med identiteten til en del av kommunistene som tok over Russland i kjølvannet av revolusjonen å gjøre, som Yakov Sverdlov, som beordet den brutale henrettelsen av hele den russiske kongefamilien, inkludert barna, mens denne satt i husarrest i Yekaterinburg? De som ønsker å danne seg et bilde av hva som egentlig skjedde i Russland før og etter revolusjonen eller kuppet høsten 1917, bør sette seg ned med bøkene til Aleksandr Solzhenitsyn, hvis integritet var uovertruffen, og som gjorde alt han kunne for å søke Sannheten. Tyskland invaderte for øvrig ikke Sovjetunionen før i 1941, på et tidspunkt hvor det nå er godt dokumentert at Stalin hadde samlet store antall tropper og store mengder materiell nær Sovjetunionens vestgrense, med tanke på en nært forestående invasjon av Europa. Da, i 1941, hadde kommunistene, først under Lenin og Trotsky, og så under Stalin, tatt livet flere flere titalls millioner mennesker, inkludert via den kunstige og helt unødvendige hungersnøden og masse-sultedøden i regionen Ukraina, et forsøk på folkemord som nå ofte kalles The Holodomor. https://www.britannica.com/event/Holodomor Så en må lure på hvorfor artikkelforfatteren ikke er veldig glad for at forfedrene hans unnslapp de nesten 25 årene med terror, vilkårlige henrettelser, massedrap, konsentrasjonsleirer/dødsleirer, tvangskollektivisering og generelt helvete som hadde funnet sted på det tidspunktet Barbarossa begynte. "Trump’s rhetoric echoes the racism and dehumanization present in the rhetoric of Adolf Hitler. His language is uncharacteristic of a politician governing on behalf of all Americans irrespective of race, ethnicity, or citizenship status. It is the kind of talk expected from a totalitarian dictator." Beviselig sludder og vås fra ende til annen; rent oppspinn. Dette er ikke vanskelig å motbevise. La oss se på hva Trump sa i sin innsettelsestale, for eksempel: That is why each day under our administration of American patriots, we will be working to meet every crisis with dignity and power and strength. We will move with purpose and speed to bring back hope, prosperity, safety, and peace for citizens of every race, religion, color, and creed. For American citizens, January 20th, 2025, is Liberation Day. It is my hope that our recent presidential election will be remembered as the greatest and most consequential election in the history of our country. As our victory showed, the entire nation is rapidly unifying behind our agenda with dramatic increases in support from virtually every element of our society: young and old, men and women, African Americans, Hispanic Americans, Asian Americans, urban, suburban, rural. And very importantly, we had a powerful win in all seven swing states and the popular vote, we won by millions of people. To the Black and Hispanic communities, I want to thank you for the tremendous outpouring of love and trust that you have shown me with your vote. We set records, and I will not forget it. I’ve heard your voices in the campaign, and I look forward to working with you in the years to come. Today is Martin Luther King Day. And his honor -- this will be a great honor. But in his honor, we will strive together to make his dream a reality. We will make his dream come true. Thank you. Thank you. Thank you." Dette er omtrent så langt fra den radikale, uhyre etnosentriske ideologien til 1930-årenes NS som det er mulig å komme. Er noe av det retorikk? Ja, kanskje. Men det er nettopp Trumps retorikk det ble henvist til. Trump bekrefter i sin tale den klassiske amerikanske visjonen om like muligheter for alle, uansett hvor man kommer ifra og hvordan man ser ut. Et visst annet sted i verden har vi derimot sett svært mye rasisme og dehumanisering den siste tiden -- la oss si de siste fjorten månedene. Det stedet er Israel og Gaza. Internett flyter over av helt sjokkerende eksempler på dette, og noen kommer direkte fra IDF. I mange tilfeller rettferdiggjøres denne retorikken ved hjelp av Det gamle testamente og andre slike skrifter. Kanskje det hadde vært verdt litt bekymring? Trump sa videre at: This week, I will also end the government policy of trying to socially engineer race and gender into every aspect of public and private life. We will forge a society that is colorblind and merit-based. Hva "Elon", angår, kan man lett finne f.eks. dette: Elon Musk reveals SA ‘Jewish roots’ January 23, 2024 Elon Musk has reflected on his “Jewish roots” during his childhood in South Africa. The world’s richest man – who was born in Pretoria – shared his experience during the European Jewish Association conference, which took place over the weekend. Musk – who is the owner of the X platform – emigrated to Canada and later the US as a young adult. ALSO READ: Made in Mzansi: Elon Musk’s childhood pics from Pretoria revealed ELON MUSK: ‘I’M JEW-ISH’ ... Following that, he was a guest speaker at the EJA conference, where he spoke about his own ties to Judaism. He said: “I grew up around a lot of Jewish people. I went to a Hebrew preschool. My name is very Jewish…super Jewish. “I went to Israel when I was 13. I’m certainly checking the box on a lot of things. Most of my friends are Jewish. He added: “I’m Jew-ish. Aspirationally Jewish”. @Red Frostraven @Neptun1
- 
	
- 249 svar
- 
	- 2
- 
					
						
					
							  
- 
					
						
					
							  
 
 
- 
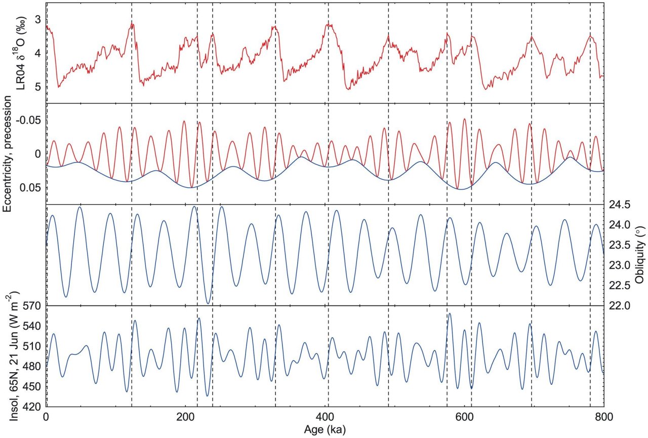
	... og til alt dette har dere null og niks og si?? Det ante meg at taushet ville bli "responsen". Her er noen illustrative grafer jeg fant ved å søke på "interglacials" og f.eks. "last 800,000 years". Det kan være vanskelig å finne illustrasjoner som virkelig viser, på en lettfattelig og oversiktlig måte, hvordan klimaet i f.eks. den istiden vi nå befinner oss i, Kvartær, har variert. Dette skyldes ikke mangel på data (som man nå har mengder av, fra både iskjerner og andre kilder, som sedimenter), men at få eller ingen forskere har sett det bryet verdt å lage bilder som kan kommunisere alt vi nå vet om de naturlige og ofte dramatiske skiftningene til Jordens klima til allmennheten.
- 249 svar
- 
	- 1
- 
					
						
					
							  
 
 
- 
	Beklager å måtte si det, Vokteren, men dette er sludder og vås fra begynnelse til slutt; en blanding av udokumenterte påstander og tåpelig språkbruk. 😂 En av hovedgrunnene til at klimahysteriet har kunnet nå slike høyder som det har gjort, er at folk flest -- inkludert undertegnede for inntil noen år siden -- ikke vet noe som helst av substans om den svært lange og komplekse geologiske og klimatiske historien til planeten vår. En annen er at veldig mange individer er helt fantastisk godtroende av natur, og sjelden eller aldri stiller kritiske spørsmål til de ulike påstandene som de får servert via utdanningssystem, medier, populærkultur og omgangskrets. Dette fører til at ulike aktører kan ljuge ved utelatelse (lie by omission) igjen og igjen og igjen, om alle slags forskjellige temaer, uten at et større antall personer ser igjennom det, og forlanger at det stoppes. Get this: -- Det finnes ikke, og har aldri funnes, noe slikt som ett "vanlig" eller "normalt" eller stabilt klima på Jorden vår -- ikke når man ser på fenomenet klima i et større perspektiv, dvs. et som dekker århundrer eller årtusener. Premisset om at klimaendringer utgjør noe uvanlig eller unaturlig er derfor bare tull. -- Fenomenet klimaendringer, inkludert relativt store og plutselige (!) klimaendringer, er, i seg selv, noe som er både helt naturlig og helt uunngåelig. Slik har det alltid vært, og slik kommer det alltid til å være, så lenge Jorden vår eksisterer. Påstanden om at naturlige klimaendringer ikke finner sted på en brå måte, men over så lange tidsrom at ulike arter rekker å tilpasse seg, er uten rot i de vitenskaelige data og den faktiske klimahistorien, og derfor også bare tull. -- Mange av de faktorene som forårsaker de naturlige og uunngåelige klimaendringene -- både de store endringene og de mindre endringene -- uten utenfor menneskehetens kontroll, og kommer alltid til å være utenfor menneskehetens kontroll. -- Kontekst er avgjørende for å forstå et fenomen, og for å kunne se det i dets rette sammenheng, og dette gjelder også vår tids klimaendringer. -- Vi befinner oss i den typen geologisk-klimatisk epoke som kalles en INTERGLASIAL. Var dere klar over det, og vet dere hva en interglasial er, og hva det at vi befinner oss i en akkurat nå, innebærer? En interglasial er, veldig enkelt forklart, en relativt varm periode, med en varighet på noen tusen år, i en større glasial eller istid. Inneværende interglasial, som sammenfaller mer eller mindre med den perioden som kalles the Holocene, begynte for alvor for drøyt ti tusen år siden, og har vart relativt lenge, sammenlignet med tidligere interglasialer, og nærmer seg sannsynligvis slutten. -- Det har vært mange slike interglasialer eller milde perioder (flere dusin, jeg husker ikke akkurat hvor mange) i den større istiden som vi fortsatt befinner oss i, som kalles Kvartær eller Quaternary. https://www.britannica.com/science/Quaternary Denne større istiden begynte for rundt to og en halv million år siden, og utgjør noe heller unormalt når man ser på Jordens svært lange historie, i den forstand at slike istider eller relativt kalde perioder som Kvartær kun har funnet sted noen få ganger opp igjennom denne lange historien. Det er med andre ord ikke noe som helst "normalt" med dagens klima! -- Nøyaktig hvorfor slike større istider begynner og slutter er fortsatt ikke særlig godt forstått. På engelsk kalles det Modulation of Ice Ages. -- Jordens normaltilstand, hvis en i det hele tatt kan snakke om noe slikt, siden klimaet hele tiden er i endring, i en eller annen grad, er ikke en istid, som den vi er i nå, men et klima som er betydelig varmere enn noen av interglasialenes topper, inkludert noen av toppene til Holocen, med lite eller ingen is på polene. Store isdekker på og ved polene er et kjennetegn på en istid, og er overhodet ikke "normalt"! -- En av faktorene som virker bestemmende på Jordens naturlige og uunngåelige klimaendringer er de såkalte Milankovitch-syklusene, som er sykliske variasjoner i Jordens bane rundt Solen, vinkelen til Jordens akse, eller hvor mye Jordens akse heller, og rotasjonen til denne aksen, eller hvilken vei aksens rotasjon får Jorden til å peke. https://www.britannica.com/biography/Milutin-Milankovitch#ref1104223 Disse tre syklusene har, i kombinasjon, en stor effekt på hvor mye sollys som når Jorden, og Jordens ulike deler. -- Milankovitch-syklusene forårsaker, i kombinasjon med andre naturlige faktorer, de overnevnte varme perioder eller interglasialer, og den ganske jevnlige vekslingen mellom disse varme periodene og lengre kalde perioder, innefor en istid som Kvartær. -- Når en interglasial tar slutt, skjer følgende: Klimaet blir svært mye kaldere, relativt sett, og det skjer en ny nedising av planeten, som skaper store utfordringer for livet, men som også fører til fornyelse. Før vi kom inn i Holocen, for eksempel, var store deler av Nord-Europa, Nord-Amerika og andre deler av landmassene på den nordlige halvkule dekket av enorme isbreeer, og sett i et geologisk perspektiv har Norge og resten av Norden bare såvidt rukket å komme ut av dette isdekket -- og det er den gigantiske vekten til dette nylige isdekket som er årsaken til at vi har såkalt landhevning i Norge, og til at landet er spekket med alle slags store og små innsjøer. -- Den store bekymringen for alle på de nordlige deler av den nordlige halvkule bør derfor, på lengre sikt, være en slik ny nedfrysning, og ikke oppvarming, siden Holosen allerede har vart temmelige lenge, sammenlignet med tidligere interglasialer, og de vitenskapelige data, som dem fra ISKJERNER, viser at interglasialer kan både begynne og slutte ganske plutselig, slik at grafenen over dem ligner mer på tennene på en kam enn på en bell-kurve. -- Det er grunn til å mistenke at den moderate oppvarmingen som muligens er blitt forårsaket av mennesker siden 1800-tallet eller deromkring faktisk, inntil videre, har reddet planeten og sivilisasjonen vår fra en slik ny nedfrysning, siden den kan ha forsinket den naturlige slutten på inneværende interglasial. -- En eventuell menneskeskapt eller delvis menneskeskapt oppvarming er likevel så liten at den ennå ikke har bragt hverken Skandinavia eller resten av planeten tilbake til de varmere periodene i Holosen som var i f.eks. Bronsealderen og for rundt åtte tusen år siden. Det er intet som tyder på at disse tidligere varmere periodene i inneværende interglasial var spesielt problematiske for livet, snarere tvert imot. Flere av de store høy-sivilisasjonene, som Indus og Sumer og Egypt, hadde f.eks. sine blomsteringsepoker i nettopp bronsealderen, selv om de kan ha begynt enda tidligere, og her i Norden var store deler av landskapet dekket av slike frodige, varmekjære løvskoger som man i dag bare finner små rester av. Hva fjellviddene angår, var også disse i mange tilfeller mer eller mindre dekket av skog, og skog på steder som Hardangervidda er akkurat like naturlig som den tilstanden vi i dag tar for gitt. https://bjerknes.uib.no/artikler/nyheter/ser-ikke-vidda-bare-traer -- Hele premisset for påstandene om en generell, betydelig global oppvarming er ekstremt problamtisk, for å si det mildt, siden det er et faktum, noe IPCC selv vedgår i sine omfattende rapporter, at de målingene av temperaturer som danner grunnlaget for sammenligningene med temperaturer i det tyvende og enogtyvende århundre er FRA ANDRE HALVDEL AV 1800-TALLET, noe som ikke bare er svært nylig i en geologisk-klimatisk sammenheng, men betyr at alle de målingene fant sted på akkurat det tidspunkt da Den såkalte lille istid, en relativt kald periode i vår interglasial, omsider tok slutt. For å si det på en annen måte: Man har, av en eller annen grunn, valgt å bruke slutten på en av de kaldeste periodene i hele Holosen, en av de kaldeste periodene på adskillige tusen år, som grunnlag for de sammenligningene som er fundamentet for påstandene om en global oppvarming over de siste 120/130 år, og man gjør dette uten å fortelle folk flest at det er dette man gjør. Skjønner dere hva som foregår her? -- Det er ikke usannsynlig at den moderate oppvarmingen som har funnet sted siden Den lille istid tok slutt, på 1800-tallet, i stor grad rett og slett er en naturlig følge av at denne naturlige kalde perioden tok slutt. -- Det er ikke nødvendigvis så enkelt som at CO2, som vi alltid må huske på er en gass som er livsnødvendig for alle grønne planter med fotosyntese, og derfor livsnødvendig for nesten alt liv på denne jord, forårsaker oppvarming. Husk at "Correlation is not (necessarily) causation". Det er for eksempel slik at konsentrasjonen av CO2 har vært betydelig høyere før, av naturlige årsaker, og at det overhodet ikke førte til noen katastrofe, selv om dette var før det fantes noen menneskelige sivilisasjoner vi kjenner til. Videre fører fallende CO2-nivåer til plantedød, spesielt i høyden, noe som igjen resulterer i forørkning, noe som igjen resulterer i massive spredninger av støv, som akkumuleres på isen på og ved polene, gjør den mørkere, fører til økt absorbasjon av sollys, og dermed økt smelting, etc., etc. Dette er prosesser det fortsatt forskes på. Summa summarum: Når folk gjør seg selv dumme som bomme-lom, ved at de tar alt som påstås at face value, og ikke gjør den jobben man må gjøre hvis man vil forstå verden, kan det ikke gå vel. Slik trekkes land og verdensdeler inn i den ene ødeleggende krigen etter den andre (som i det tyvende århundre, og den såkalte krigen mot terror i kjølvannet av 9/11), slik løses enorme ressurser bort på tull og tøys og fads (som dette med vind-industri, for eksempel), slik blir det såkalte demokratiet redusert til en maske for dem som kontrollerer mediene, istedenfor det gode folkestyret som det kunne ha vært, og slik drives hele befolkninger inn i den ene fiktive "krisen" etter den andre, som da man erklærte en livsfarlig pandemi i 2020. Sannheten om verden, og om "folk flest", er en de færreste har lyst til å høre, men en de sårt trenger å høre. P.S. I vitenskapelig forskning og debatt finnes det ikke noe slikt som "fornektelse" og "fornektere", eller "denial" og "deniers". Man befinner seg i en pågående prosess, hvor målet er å komme nærmest mulig Sannheten, eller i hvert fall en forståelse mest mulig i tråd med Virkeligheten. Er man uenig i noe, presenterer man gode, velfunderte motargumenter. Det finnes ingen dogmer eller permanente læresetninger. Ideen om "fornektelse" er lånt fra propagandistiske forsøk på å stanse all såkalt revisjonisme i historieforskningen knyttet til det tyvende århundre -- et tema jeg ikke skal gå inn på her -- og har ingenting å gjøre i en seriøs debatt om klima. Ha en fortsatt fortreffelig Første Trump-Dag. 😂 @Vokteren @Tussi @Mars2029
- 249 svar
- 
	- 3
- 
					
						
					
							  
- 
					
						
					
							  
 
 
- 
	Storartet, oppmuntrende tale ved Trump, under seremonien nå i dag: FULL SPEECH: The Inauguration of Donald J. Trump as the 47th President of The United States 1/20/25 https://rumble.com/v6bgkq7-full-speech-the-inauguration-of-donald-j.-trump-as-the-47th-president-of-th.html?e9s=src_v1_ucp 🦅 Hopp gjerne til ca. åtte minutter inn ("Liberation Day", osv.) Og så vil tiden vise hvordan det hele faktisk utvikler seg.
- 
	  Galopperende strømpriser, like dyrt som dieselaggregatDikedis svarte på Vokteren sitt emne i Politikk og samfunn Ett ord: VANSTYRE! VANSTYRE!! "De" hadde tenkt å rive store deler av vakre Norge i fillebiter med støyende og blinkende vindindustri. Men folket våknet og sa NEI TAKK! Nå vet "de" ikke hva de skal gjøre, for "noen" vil ikke slippe åpenbare løsninger som atomkraft inn i varmen. https://www.aftenbladet.no/okonomi/i/rPXoXA/hos-haaland-kjoett-svinger-stroemprisen-med-50-000-i-maaneden-kan-ikke-ha-det-saann Hos Håland Kjøtt svinger strømprisen med 50.000 i måneden: – Kan ikke ha det sånn Mandag kveld er strømprisen over 7 kroner på det dyreste – og tidligere i dag gikk statsminister Jonas Gahr Støre (Ap) ut og lovet nye strøm-grep for folk flest. Men ikke for næringslivet. – Vi er skuffet, sier Monica Oliversen i Håland Kjøtt. Kristoffer Sivertsen og Pål Morten Borgli fra Frp diskuterte strømprisen med Monica Oliversen hos Håland Kjøtt fredag. Foto: Pål Christensen Kjell-Ivar Gilje Grøndal Journalist Publisert: For mindre enn 20 minutter siden I 2022 hadde Håland Kjøtt AS en strømregning på 1,3 millioner kroner – og måtte kutte i arbeidstimer. I fjor ble regningen «bare» 500.000 kroner. Nå vil daglig leder Monica Oliversen ha større forutsigbarhet. – Vi er kjent for å være offensive og positive. Men akkurat dette med strømpriser er noe som engasjerer oss. Fordi det handler om at næringslivet her i regionen betaler mye mer enn bedrifter andre steder i landet. Vi opplever altså en enorm urettferdighet, som i verste fall kan koste oss arbeidsplasser og konkurser. Sånn kan vi ikke ha det, sier Oliversen til Aftenbladet.
- 744 svar
- 
	- 2
- 
					
						
					
							  
- 
					
						
					
							  
 
 
- 
	Følg The Inauguration of Donald J. Trump HER: https://rumble.com/v68zsz4-live-all-day-coverage-of-president-donald-j.-trumps-2025-inauguration-12025.html?e9s=src_v1_ucp Ved å følge innsettelsen og feiringen her, på Right Side Broadcasting, kan du unngå den selektive og forvrengende dekningen til mange av mediene, og rett og slett se og høre selv hva som skjer, og dømme selv. Uansett hva en måtte mene om Trump og bevegelsen som har han som frontfigur, så er dette et historisk øyeblikk. Selv er jeg skeptisk pga. alt det Trump IKKE gjorde da han sist var president, og pga. sionistene han selv nå, etter over et år med massedrap på sivile i Gaza, har valgt å ta med seg på the Trump-train, som det kalles, men det vil være umulig å si akkurat hvordan det hele går før om noen måneder. LIVE: The Inauguration of Donald J. Trump as the 47th President of The United States 1/20/25 Ca. 100.000 personer følger sendingen på Rumble i dette øyeblikk, kl. 17:40

 
            
         
					
						 
                     
                     
                     
                     
                     
                     
                     
                     
                     
                     
                     
                     
                    