PUK Skrevet 4. februar 2023 Skrevet 4. februar 2023 (endret) FOTBALL PÅ TOG Vi stiller oss i gangen og åpner døren da toget går i 50 og sparker fotballen ut av døren med farten 50. For å slippe mye tull og utenomsnakk sier vi at en ser bort fra luftmotstand og gravitasjon. Hva skjer? Ballen har 2 hastigheter på 50, en rett fremover og en 90 grader rett ut. Det store spørsmålet blir vel da. Hvor ble det av den resterende farten på 29 km/t. da en her måler farten der ballen går i 45 grader ut fra toget til 71 km/t. Ballen hadde i utgangspunktet 2 ganger 50. Totalt 100 km/t Med mindre noen kan gi ett oppegående svar på hvor den resterende farten 29 km/t tok veien er jeg redd det er noe alvorlig feil med gjeldende vitenskapelige teorier på området. Personlig tror jeg at legemer kan operere med to hastigheter som ikke kan måles i fart uten en vet utgangshastigheten i begge retninger og vil gi riktig bevegelsesenergi. Dette er sannsynligvis til stor frustrasjon både her på jorden og ikke minst for de som interesserer seg for bevegelse i verdensrommet. Poenget tror jeg er at en regner ut bevegelsesenergi i henhold til objektets tyngde og hastighet. I dette tilfellet ville en måle hastigheten til 71 mens den reelt er 100 som jeg mener gir rett bevegelsesenergi. CURLINGSTEIN FRA TOG Endrer en nå på oppsettet og legger is i gangen på toget som flukter med en islagt perrong og sender en curlingstein ut som treffer en stillestående stein er jeg redd vedtatte sannheter vil kunne få seg en knekk. Om den trufne steinen vil overta farten 71 og den andre vil fortsette med farten 29 etter støtet, eller tar den trufne steinen over hele bevegelsesenergien og får farten 100 mens den andre blir liggende i ro, som er normalt ved vanlig støt rett frem vet jeg ikke noe sikkert om siden jeg ikke enda har testet det ut. Jeg haller til at steinen i fart har sin bevegelseenergi fra begge fartene på 50 i behold og vil overføre farten 100 til steinen som lå stille og at steinen med farten 71 går til ro. MAGNUSEFEKTEN SKRUBALL Siden vi nå er så godt i gang tar vi med luftmotstanden og sparker ballen ut fra toget i 10 mens toget går i 70. En viktig ingrediens her blir loven som sier at luftmotstanden øker 4 ganger om farten dobles. Farten 10 rett ut blir i liten grad påvirket av luftmotstanden mens den rett frem på 70 får kraftig motstand og farten faller mye raskere en den på 10. Dette medfører at den med farten 10 i utgangspunktet, kommer mer og mer til sin rett og en får en bue i banen. På fotball språket kalles fenomenet for skruball. Jeg avviser ikke magnusefekten som skruball i dag forklares med, men den er så liten at den knapt vill merkes. For mange år siden festet jeg en ball på en stang og en drill og kjørte rundt med innretningen opp fra takluken. Uansett fart på både bil og drill merket jeg ikke noe kraft sideveis. Jeg filmet også ballen fra en gangovergang bro der jeg kastet ut ballen fra bilvinduet. Problemet her var at ballen datt for fort mot bakken, men analysen fra alle opptak indikerer skruball. Skruball få en da ballen har forskjellig fart i to retninger. Av: Torstein Surdal Endret 5. februar 2023 av PUK
Flin Skrevet 5. februar 2023 Skrevet 5. februar 2023 PUK skrev (14 timer siden): FOTBALL PÅ TOG Vi stiller oss i gangen og åpner døren da toget går i 50 og sparker fotballen ut av døren med farten 50. For å slippe mye tull og utenomsnakk sier vi at en ser bort fra luftmotstand og gravitasjon. Hva skjer? Ballen har 2 hastigheter på 50, en rett fremover og en 90 grader rett ut. Det store spørsmålet blir vel da. Hvor ble det av den resterende farten på 29 km/t. da en her måler farten der ballen går i 45 grader ut fra toget til 71 km/t. Ballen hadde i utgangspunktet 2 ganger 50. Totalt 100 km/t Med mindre noen kan gi ett oppegående svar på hvor den resterende farten 29 km/t tok veien er jeg redd det er noe alvorlig feil med gjeldende vitenskapelige teorier på området. Personlig tror jeg at legemer kan operere med to hastigheter som ikke kan måles i fart uten en vet utgangshastigheten i begge retninger og vil gi riktig bevegelsesenergi. Dette er sannsynligvis til stor frustrasjon både her på jorden og ikke minst for de som interesserer seg for bevegelse i verdensrommet. Poenget tror jeg er at en regner ut bevegelsesenergi i henhold til objektets tyngde og hastighet. I dette tilfellet ville en måle hastigheten til 71 mens den reelt er 100 som jeg mener gir rett bevegelsesenergi. Nei, ballen hadde ikke to hastigheter, den hadde en hastighet med to komponenter. En som komponent vinkelrett på toget og en som peker langs skinnegangen. Den totale lengden av farts-vektoren blir sqrt(50**2+50**2) = 70.71 km/t. Du kan gjøre et veldig lett eksperiment som kanskje vi overbevise deg om at du må være litt forsiktig når du legger sammen komponenter på den måten. Start i et punkt. Gå to meter til høyere og så to meter opp. Legg en sten i punktet du startet i og en i punket du kommer frem til. Mål så avstanden mellom de to stenene. Du vil fort innse at det ikke blir 2+2. Du vil få sånn cirka 2.82 meter. Du mener at vi lever i en verden hvor alt bare er direkte linjere summer, men det stemmer ikke. Den totale farten er ikke bare summen av de to komponentene. PUK skrev (14 timer siden): Dette er sannsynligvis til stor frustrasjon både her på jorden og ikke minst for de som interesserer seg for bevegelse i verdensrommet. Problemet er jo at ingen av disse tingene du kommer med er til irritasjon hverken her eller i rommet. All teknologi både her nede på jorden og i rommet operer i forhold til fysikken du mener er feil. Problemet ditt er at alt fungerer helt fint, ingen er irritert. 4 1
PUK Skrevet 6. februar 2023 Forfatter Skrevet 6. februar 2023 (endret) Flin skrev (På 5.2.2023 den 15.15): Start i et punkt. Gå to meter til høyere og så to meter opp. Legg en sten i punktet du startet i og en i punket du kommer frem til. Mål så avstanden mellom de to stenene. Du vil fort innse at det ikke blir 2+2. Dette var en håpløs sammenligning som ikke holder mål. Det ble her tilbakelagt 4 m. Å gå krever også energi, å gå 4 m. krever dobbelt så mye energi som å gå 2 m. Det ser ut som du sliter med å forholde deg til det jeg viser til. Jo, ballen hadde 2 hastigheter hver sin vei på 50 som sammenlagt blir 100. Om du som observatør ikke viste hvor ballen kom fra ville du måle farten 71 og slå deg til ro med det. Mens ballen i virkeligheten hadde bevegelsesenergien fra farten 100. Endret 6. februar 2023 av PUK
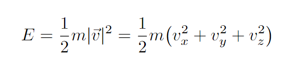
Flin Skrevet 7. februar 2023 Skrevet 7. februar 2023 (endret) Nei, den hadde ikke det. Når du sparker en ball det viktig hvilken retning du sparker ballen i og hvor fort du sparker den. Farten beskriver altså både en retning og en absolutt hastighet. For å gjøre det trenger man det som heter, i matematikken, en vektor. Det er lengden av denne vektoren som du finner igjen i utrykket for kinetisk energi. Lengden, eller størrelsen om du vil, er ikke gitt av summen til dens komponenter. Eksemplet jeg, som forresten lager en rettvinklet trekant, er en illustrasjon av nettopp dette. Dessverre velger du å være arrogant i istedenfor å ta til deg det som blir skrevet. I det daglige beskrives verden utrolig godt av Newtons lover, altså Ofte blir disse pilene ignorert, men kraft, fart og akselerasjon er alle vektorer som ikke bare har en absoluttverdi, men også peker i en bestemt retning. Akselerasjon er definert som den tids-deriverte av farten, altså endringen i farten per tidsenhet, og fart er definert som den tids-deriverte av posisjonsvektoren. Fart din er endringen av din posisjon per tidsenhet. Ofte noteres de slik, Man begynner altså med posisjonen til et objekt, r, og så definerer man hastighet og akselerasjon fra den vektoren. Videre viser det seg at en bestemt sammensetning av masse og fart, gitt at man ikke har noen tyngdekraft eller andre eksterne krefter, er en bevart størrelse og dette er det man kaller kinetisk energi. Mer generelt er det energi som viser seg å være bevart, kinetisk energi kan gå over til andre energi former. Kinetisk energi er gitt ved Legg merke til at det er lengden av fartsvektoren som inngår i utrykket. To streker rundt en vektor betyr vektorens lengde. Den er gitt som kvadratroten av summen av vektorens komponenter i andre. Dette er slik tingene er definert, dette er slik verden har vist seg å være. Dette er størrelsene som er bevart. EDIT: Veit ikke helt hvorfor det ene bilde kommer igjen på slutten, men det kan dere ignorere. Endret 7. februar 2023 av Flin 2 1
1Dr.E Skrevet 7. februar 2023 Skrevet 7. februar 2023 Og jeg som trodde dette skulle handle om tips for streaming av Premier League på Bergensbanen eller noe sånt. 7 1
Flin Skrevet 8. februar 2023 Skrevet 8. februar 2023 1Dr.E skrev (15 timer siden): Og jeg som trodde dette skulle handle om tips for streaming av Premier League på Bergensbanen eller noe sånt. If only
PUK Skrevet 8. februar 2023 Forfatter Skrevet 8. februar 2023 Flin skrev (21 timer siden): Lengden, eller størrelsen om du vil, er ikke gitt av summen til dens komponenter. Jeg takker deg selv om dette ikke gir meg noe som jeg oppfatter som fornuftig. Det handler i liten grad om start innlegget. Etter å ha filosofert noe mer over det har jeg komt frem til at det riktigste sannsynligvis er at kulen går med farten 100 der en observerer den går 45 grader i henhold til toget. 2 x 50 er 100. Tenk litt over det!
Flin Skrevet 8. februar 2023 Skrevet 8. februar 2023 PUK skrev (52 minutter siden): Jeg takker deg selv om dette ikke gir meg noe som jeg oppfatter som fornuftig. Det handler i liten grad om start innlegget. Etter å ha filosofert noe mer over det har jeg komt frem til at det riktigste sannsynligvis er at kulen går med farten 100 der en observerer den går 45 grader i henhold til toget. 2 x 50 er 100. Tenk litt over det! Utfordringen du står ovenfor er å formulere konsistente teorier eller forutsigelser som kan testes. Det jeg skriver er ikke noe jeg bare finner på, det er basert på logikk, matematikk og, viktigst av alt, eksperimenter. At du ikke oppfatter det som fornuftig er greit nok, det å tenke kritisk er viktig, men du har en ganske tung bevisbyrde hvis du vil falsifisere grunnleggende fysikk og matematikk. 5 1
dørmatte Skrevet 10. februar 2023 Skrevet 10. februar 2023 PUK skrev (På 6.2.2023 den 22.56): Dette var en håpløs sammenligning som ikke holder mål. Det ble her tilbakelagt 4 m. Å gå krever også energi, å gå 4 m. krever dobbelt så mye energi som å gå 2 m. Det ser ut som du sliter med å forholde deg til det jeg viser til. Jo, ballen hadde 2 hastigheter hver sin vei på 50 som sammenlagt blir 100. Om du som observatør ikke viste hvor ballen kom fra ville du måle farten 71 og slå deg til ro med det. Mens ballen i virkeligheten hadde bevegelsesenergien fra farten 100. Bare er spørsmål til deg. Hvilket forhold har du til fysikk? Tok du fysikk på vgs, har du studert fysikk, eller noe annet?
PUK Skrevet 11. februar 2023 Forfatter Skrevet 11. februar 2023 dørmatte skrev (3 timer siden): Bare er spørsmål til deg. Hvilket forhold har du til fysikk? Tok du fysikk på vgs, har du studert fysikk, eller noe annet? Jeg har gått 4 år på søndagsskolen som påfyll til de 7 år på den obligatoriske folkeskolen som var gjeldene da i 1953. Men hvorfor spør du om det?
barfoo Skrevet 11. februar 2023 Skrevet 11. februar 2023 8 minutes ago, PUK said: Jeg har gått 4 år på søndagsskolen som påfyll til de 7 år på den obligatoriske folkeskolen som var gjeldene da i 1953. Men hvorfor spør du om det? Fordi det du ønsker å diskutere er fysikk. Om du ikke har fysikk utover folkeskolen så er faktisk ikke dette et diskusjonstema; vi kan kategorisk slå fast at du ikke har forståelse eller kunnskap om temaet, også er det ferdig med det. For at hastighet er en vektorstørrelse er ikke spesielt kontroversielt. Den kan ikke ha to hastigheter. Fart er derimot skalar, og man kan snakke om forskjellig fart i forskjellige retninger. 4 1
PUK Skrevet 11. februar 2023 Forfatter Skrevet 11. februar 2023 barfoo skrev (18 timer siden): Fordi det du ønsker å diskutere er fysikk. Det er for så vidt greit. Men det er vel ikke noe forbud mot å delta om en ikke har den rette utdannelsen? Jeg skrev noe lenger opp her "Etter å ha filosofert noe mer over det har jeg komt frem til at det riktigste sannsynligvis er at kulen går med farten 100 der en observerer den går 45 grader i henhold til toget. 2 x 50 er 100." Så jeg er enig med deg i at en gjenstand i fart ikke kan operere med 2 hastigheter. Siden du ser ut til å sitte på de rette løsningene ville det vert bra om du kunne gi en korrekt beskrivelse til spørsmålet her. Jo, jeg har alltid vert interessert i hvordan ting henger sammen og stilt spørsmål til ting jeg ikke får til å stemme. For øvrig lærer en en del etter som livet skrider frem. Journalister var særdeles i storform av ett prosjekt jeg drev noen år. https://www.dalstein.no/ 1
dørmatte Skrevet 11. februar 2023 Skrevet 11. februar 2023 PUK skrev (20 minutter siden): Det er for så vidt greit. Men det er vel ikke noe forbud mot å delta om en ikke har den rette utdannelsen? Jeg skrev noe lenger opp her "Etter å ha filosofert noe mer over det har jeg komt frem til at det riktigste sannsynligvis er at kulen går med farten 100 der en observerer den går 45 grader i henhold til toget. 2 x 50 er 100." Så jeg er enig med deg i at en gjenstand i fart ikke kan operere med 2 hastigheter. Siden du ser ut til å sitte på de rette løsningene ville det vert bra om du kunne gi en korrekt beskrivelse til spørsmålet her. Jo, jeg har alltid vert interessert i hvordan ting henger sammen og stilt spørsmål til ting jeg ikke får til å stemme. For øvrig lærer en en del etter som livet skrider frem. Journalister var særdeles i storform av ett prosjekt jeg drev noen år. https://www.dalstein.no/ Hva er det du lurer på som du ikke allerede har fått svar på?
Flin Skrevet 11. februar 2023 Skrevet 11. februar 2023 PUK skrev (31 minutter siden): Det er for så vidt greit. Men det er vel ikke noe forbud mot å delta om en ikke har den rette utdannelsen? Jeg skrev noe lenger opp her "Etter å ha filosofert noe mer over det har jeg komt frem til at det riktigste sannsynligvis er at kulen går med farten 100 der en observerer den går 45 grader i henhold til toget. 2 x 50 er 100." Så jeg er enig med deg i at en gjenstand i fart ikke kan operere med 2 hastigheter. Siden du ser ut til å sitte på de rette løsningene ville det vert bra om du kunne gi en korrekt beskrivelse til spørsmålet her. Jo, jeg har alltid vert interessert i hvordan ting henger sammen og stilt spørsmål til ting jeg ikke får til å stemme. For øvrig lærer en en del etter som livet skrider frem. Journalister var særdeles i storform av ett prosjekt jeg drev noen år. https://www.dalstein.no/ Delta den som vil, jo flere jo bedre. Det fine nå er at du har kommet med en påstand. Den påstanden er feil og hvis du gjør et forsøk vil naturen bekrefte at du tar feil. Det er det som er så fantastisk med fysikk, man kan teste ting. Det jeg tror noen reagerer på er at du har mange meninger og du har en, til tider, ganske arrogant holdning. Kritisk og kreativ tenkning er absolutt verdifullt, men man nå forstå det man kritiserer og betviler. 4
PUK Skrevet 11. februar 2023 Forfatter Skrevet 11. februar 2023 Flin skrev (6 minutter siden): Den påstanden er feil Om du ser etter så har jeg endret påstanden i start innlegget i tidligere svar til deg. Jeg har innsett at en gjenstand ikke kan operere med 2 hastigheter og at ballen i dette tilfellet vil gå med farten 100 i 45 grader ut fra toget. Hva er galt med denne fremstillingen?
dørmatte Skrevet 11. februar 2023 Skrevet 11. februar 2023 PUK skrev (3 minutter siden): Om du ser etter så har jeg endret påstanden i start innlegget i tidligere svar til deg. Jeg har innsett at en gjenstand ikke kan operere med 2 hastigheter og at ballen i dette tilfellet vil gå med farten 100 i 45 grader ut fra toget. Hva er galt med denne fremstillingen? Problemet er bare det at man kan ikke legge sammen de to hastighetene, med mindre de er i samme retning 4
Flin Skrevet 11. februar 2023 Skrevet 11. februar 2023 Det som er galt er at ballens totale fart ikke blir 100 km/h, men cirka 70.71 km/h. Det var dette jeg forsøkte å illustrere med det praktiske eksemplet jeg ga det litt over her. Dette er situasjonen du illustrerer 2 1
PUK Skrevet 11. februar 2023 Forfatter Skrevet 11. februar 2023 Flin skrev (20 minutter siden): Det som er galt er at ballens totale fart ikke blir 100 km/h, men cirka 70.71 km/h. Takk, det er greit, men kan du forklare hvor farten mellom 70,71 og 100 tok veien?
dørmatte Skrevet 11. februar 2023 Skrevet 11. februar 2023 PUK skrev (18 minutter siden): Takk, det er greit, men kan du forklare hvor farten mellom 70,71 og 100 tok veien? Du har allerede sagt at du har innsett at en gjenstand ikke kan operere med to hastigheter. Da går det naturligvis ikke ann å legge fartskomponentene sammen.
barfoo Skrevet 12. februar 2023 Skrevet 12. februar 2023 3 hours ago, PUK said: Takk, det er greit, men kan du forklare hvor farten mellom 70,71 og 100 tok veien? Det er vektoraddisjon. Det er tema i matematikkfag på vgs, men kort sagt så kan du bruke geometriske regler, i dette tilfellet pytogaros for å finne resultatet.
Anbefalte innlegg
Opprett en konto eller logg inn for å kommentere
Du må være et medlem for å kunne skrive en kommentar
Opprett konto
Det er enkelt å melde seg inn for å starte en ny konto!
Start en kontoLogg inn
Har du allerede en konto? Logg inn her.
Logg inn nå