Gå til innhold
Trenger du skole- eller leksehjelp? Still spørsmål her ×

Den enorme matteassistansetråden


Anbefalte innlegg

Skrevet

(n+1)^3 - (n+1) = (n+1)(n^2+2n+1) - (n+1) = n^3 + 2n^2 + n + n^2 + 2n + 1 - n - 1 = n^3 + 3n^2 + 2n

 

Vi har gått ut i fra at n^3 - n er delelig med 6, dermed kan vi trekke det i fra første likning. Vi kan gå ut i fra at dette er riktig her, siden det er hele fundamentet for induksjonsbeviset. (Sett at n^3 - n viste seg å være delelig på 6 for en vilkårlig verdi n, vil det samme gjelde for verdien n+1?)

 

n^3 - 3n^2 + 2n - (n^3 - n) = 3n^2 + 3n = 3(n^2 + n) = 3n(n+1). Vet at hvis er delelig på 6 må også det være delelig på både 2 og 3 samtidig. (2*3 = 6)

Tallet er definitivt delelig på 3 siden en av faktorene er lik 3. Tallet er delelig på to hvis en av faktorene n eller n+1 er et partall. Enten n eller n+1 er nødt til å være et partall siden de kommer rett etter hverandre på tallrekken.

Dette kan også deles på 6, og dermed kan hele uttrykket (n+1)^3 - (n+1) deles på 6 hvis n^3 - n kan deles på 6. Vi tester for n = 0. 0^3 - 0 = 0. Dette kan deles på 6, dermed stemmer formelen for alle heltall n >= 0.

Videoannonse
Annonse
Skrevet

i telleren vil 2 bli neglisjerbar når n går mot uendelig. det samme gjelder 1 i nevneren. stryk disse, og løs opp kvadratroten og se hva du får. i nr 2 vil n^2-5n gå mot n^2 når n går mot uendelig. da kan du også løse opp kvadratroten og du får n-n = 0.

Skrevet
i telleren vil 2 bli neglisjerbar når n går mot uendelig. det samme gjelder 1 i nevneren. stryk disse, og løs opp kvadratroten og se hva du får. i nr 2 vil n^2-5n gå mot n^2 når n går mot uendelig. da kan du også løse opp kvadratroten og du får n-n = 0.

 

Hvis du ikke vet hva du snakker om kan du like så godt la være å svare.

 

Hvordan finner man x her?

 

120=x!

 

Jeg vet det er 5, men hvordan finner man frem til det ved regning?

 

Faktoriser 120 og håp på det beste.

Skrevet (endret)
Kunne noen hjulpet meg med denne?

 

post-39786-1253045852_thumb.jpg

 

Regner med disse er greie matematiske. Tror det er en logisk brist på siste, uendelig stor ganger uendelig lite pleier å bli litt weird.

post-37922-1253047344_thumb.jpg

post-37922-1253048078_thumb.jpg

Endret av TheMaister
Skrevet
Kunne noen hjulpet meg med denne?

 

post-39786-1253045852_thumb.jpg

 

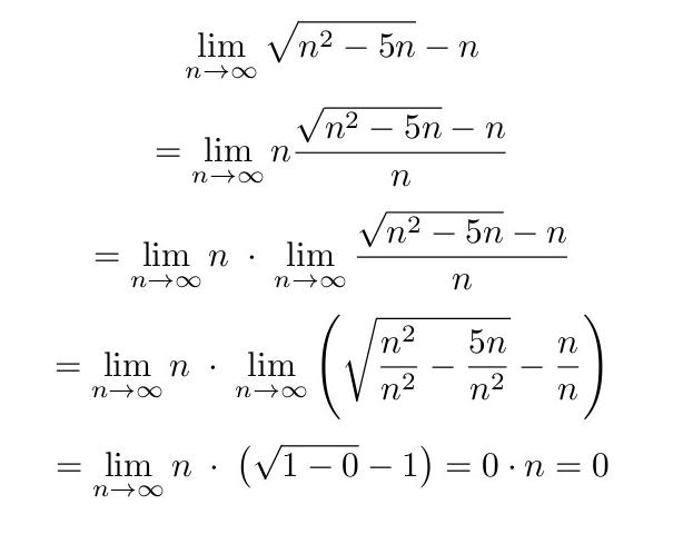
lim(sqrt(n^2 - 5n) - n, n->inf) er en fæling. Det blir mye regning. Vi kan prøve en snarvei.

 

n^2 - 5n ~ n^2 - 5n + 25/4 når n blir stor.

 

n^2 - 5n + 25/4 = (n - 5/2)^2, så du har:

 

lim(sqrt(n^2 - 5n) - n, n->inf) ~ lim(sqrt((n - 5/2)^2) - n, n->inf) = lim(n - 5/2 - n, n->inf) = -5/2.

 

Ikke bruk den metoden på eksamen.

Skrevet
Regner med disse er greie matematiske. Tror det er en logisk brist på siste, uendelig stor ganger uendelig lite pleier å bli litt weird.

 

 

 

Tusen takk!

Skrevet (endret)

Som jeg trodde hadde jeg feil på oppgave 2 der. Grensen blir -5/2. Lurer på hvordan man skal føre den oppgaven matematisk "korrekt" though.

Endret av TheMaister
Skrevet
Som jeg trodde hadde jeg feil på oppgave 2 der. Grensen blir -5/2. Lurer på hvordan man skal føre den oppgaven matematisk "korrekt" though.

 

Du har gjort en del ting der som ikke er helt bra.

 

Det du skal gjøre på en slik oppgave er å gange med konjugatet.

Skrevet

Ja, ganger med et uendelig stort tall med et uendelig lite et = udefinert

 

Men du nevner at "ikke bruk denne metoden på eksamen". Hvordan ville du ha ført den oppgaven på en eksamen da?

Skrevet
Ja, ganger med et uendelig stort tall med et uendelig lite et = udefinert

 

Men du nevner at "ikke bruk denne metoden på eksamen". Hvordan ville du ha ført den oppgaven på en eksamen da?

 

Som sagt ville jeg ganget med konjugatet.

 

Det jeg gjorde der oppe funker for å sjekke om du har gjort riktig. Tror ikke den som retter er så glad i en slik metode.

Skrevet
Ja, ganger med et uendelig stort tall med et uendelig lite et = udefinert

 

Men du nevner at "ikke bruk denne metoden på eksamen". Hvordan ville du ha ført den oppgaven på en eksamen da?

 

Som sagt ville jeg ganget med konjugatet.

 

Det jeg gjorde der oppe funker for å sjekke om du har gjort riktig. Tror ikke den som retter er så glad i en slik metode.

 

Hvilket konjugat sikter du til? Blir litt forvirret.

Skrevet
Ja, ganger med et uendelig stort tall med et uendelig lite et = udefinert

 

Men du nevner at "ikke bruk denne metoden på eksamen". Hvordan ville du ha ført den oppgaven på en eksamen da?

 

Som sagt ville jeg ganget med konjugatet.

 

Det jeg gjorde der oppe funker for å sjekke om du har gjort riktig. Tror ikke den som retter er så glad i en slik metode.

 

Hvilket konjugat sikter du til? Blir litt forvirret.

 

Hvis du har noe på formen a+b er konjugatet a-b.

Skrevet (endret)

Hva har du tenkt å gange? Hele uttrykket slik at

 

sqrt ( n^2 - 5) - n blir til:

 

[ sqrt( n^2 - 5 ) - n ] * [ sqrt(n^2 - 5) + n ] / [ sqrt(n^2 - 5) + n ] = (n^2 - 5n - n^2) / [ sqrt(n^2 - 5) + n ] ?

 

 

Eller noe inni kvadratroten slik at:

 

sqrt (n^2 - 5) - n blir til:

 

sqrt((n^2-5)*(n^2+5)/(n^2+5)) - n = sqrt((n^4 - 25)/(n^2+5)) - n ?

 

EDIT: Der, tror jeg klarte den :D

post-37922-1253054831_thumb.jpg

Endret av TheMaister
Skrevet (endret)

Hei. Sliter litt med denne her. Noen som har lyst til å hjelpe meg? :)

 

Forkort brøken: -x^3-2x^2+2x+3:x^2-1

 

Forklar gjerne i samme slengen så forstår jeg det kanskje. ^^

Endret av GrandMa
Skrevet

Jeg har obligatorisk innlevering samtidig som jeg ikke skjønner ett kvidder så det ser ut som om jeg må plage dere litt mer. :p

 

f(x)=-x^2-x+3

-----------

x-1

 

Er definisjonsmengden her alt bortsett fra 1? "Å dele på null er tull". X kan ikke være 1 ettersom det da blir 0 i nevneren. Korrekt?

Opprett en konto eller logg inn for å kommentere

Du må være et medlem for å kunne skrive en kommentar

Opprett konto

Det er enkelt å melde seg inn for å starte en ny konto!

Start en konto

Logg inn

Har du allerede en konto? Logg inn her.

Logg inn nå
×
×
  • Opprett ny...