1r9b1k7 Skrevet 28. mars 2007 Skrevet 28. mars 2007 Er det noen som har peiling på hvordan man skal løse oppgave b?
hockey500 Skrevet 28. mars 2007 Skrevet 28. mars 2007 (endret) Hmm, jeg klarer ikke løse den med 10. klasse matte, men med litt trigonometri går det greit: b) AED er en 30, 60, 90 graders trekant, så AE er halvparten av AD. da kan du finne AE som en likning: x² + 4,5² = (2x)² x² - 4x² = -4,5² -3x² = -4,5² 3x² = 4,5² x = sqrt(4,5² / 3) = 2,59807621 da har du selvsagt også lengden på AD. BE er 6,8 - AE. BD finner så deretter med pytagoras. BC = BD fordi det er 2 45-graders vinkler i den trekanten. CD finner du tilslutt igjen med pytagoras c) 1: Finn arealet av trekant ABD. her vet du høyde og lengde, så det er ikke noe problem. 2: Finner AE slik: tan(60) = 4,5/x --> x = tan(60) / 4,5 3: Finner BE slik: 6,8 - (tan(60) / 4,5) 4: Deretter kan du finne BD med pytagoras 5: Finner BC med sinussetningen: sin(45) / x = sin(45) / BD 6: finner arealet av den andre trekanten med BD * BC / 2 da har du arealet av begge trekantene, så er det bare å plusse sammen arealet. EDIT: ved nærmere ettersyn kan du selvsagt finne arealet med pytagoras læresetning også, så du kan vel egentlig glemme alt jeg har skrevet på oppgave c). huff, dette ble mye rot fra min side, men så lenge du vet at AE = 1/2 AD og BC = BD, kan alt løses med pytagoras Endret 28. mars 2007 av hockey500
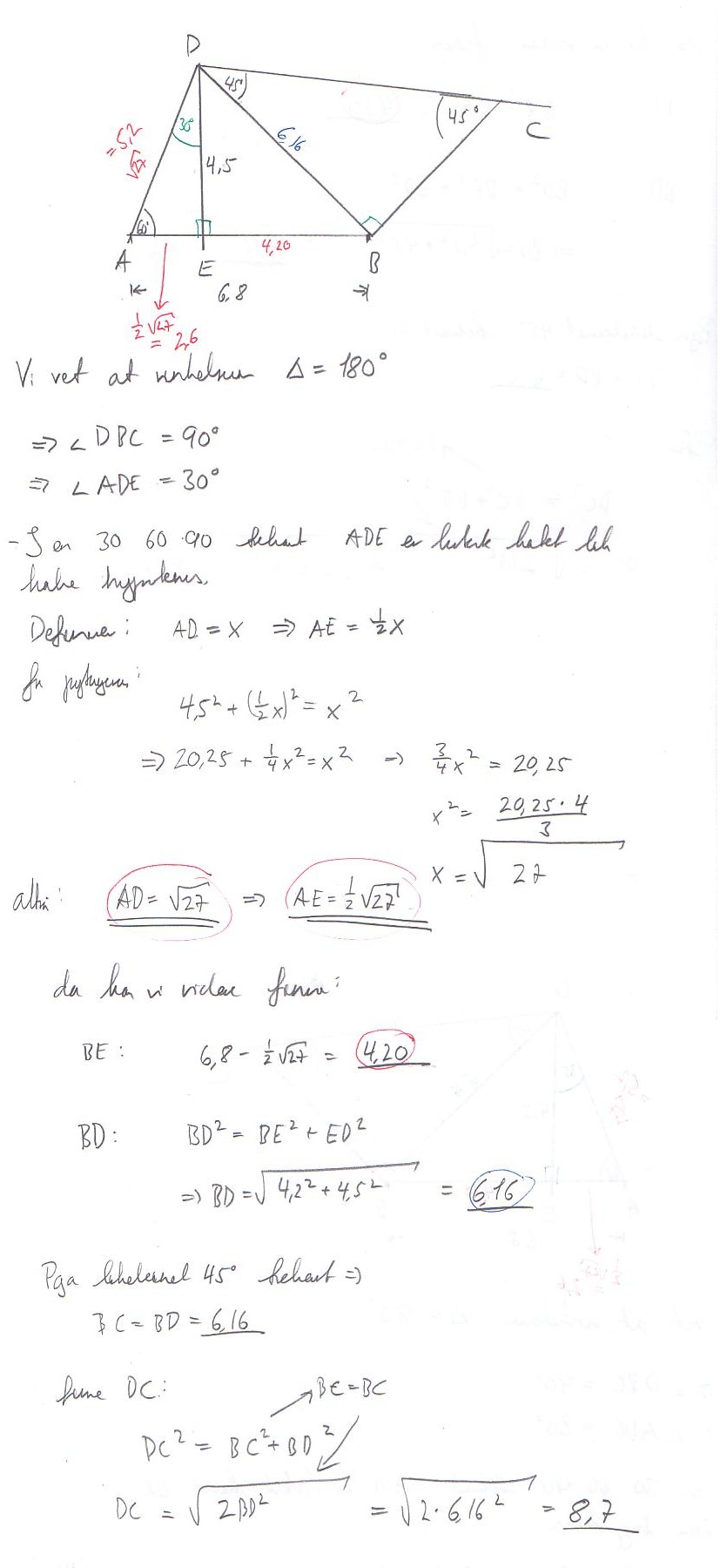
Thorsen Skrevet 28. mars 2007 Skrevet 28. mars 2007 Se vedlegg.. oppgave b løst vha pytagoras 30-60-90 trekant likebeinet trekant vinkelsum
1r9b1k7 Skrevet 29. mars 2007 Forfatter Skrevet 29. mars 2007 Ja takk for svar, men greide den til slutt selv og brukte akkurat samme måte som hockey500.
Anbefalte innlegg
Opprett en konto eller logg inn for å kommentere
Du må være et medlem for å kunne skrive en kommentar
Opprett konto
Det er enkelt å melde seg inn for å starte en ny konto!
Start en kontoLogg inn
Har du allerede en konto? Logg inn her.
Logg inn nå