Gjest medlem-1432 Skrevet 9. oktober 2010 Skrevet 9. oktober 2010 (endret) Hvordan skal dette nå regnes: Bestem p og q. (vektorregning) pu+(q+p)v=2u-v Har kommet fram til at p = 2. Hvordan finne q? Edit: Blir det v*p=2 + v*q=1 v=3 = -3 ? Endret 9. oktober 2010 av medlem-1432
Jaffe Skrevet 9. oktober 2010 Skrevet 9. oktober 2010 Hva mener du med v= 3 = -3? Det gir ikke mening i det hele tatt. Du vet at tallet foran v på venstre side er (p + q) og du vet at tallet foran v på høyre side er -1. Da setter du opp at p + q = -1. Fra før vet du at p = 2. Så da får du at 2 + q = -1.
Gjest medlem-1432 Skrevet 9. oktober 2010 Skrevet 9. oktober 2010 Hva mener du med v= 3 = -3? Det gir ikke mening i det hele tatt. Du vet at tallet foran v på venstre side er (p + q) og du vet at tallet foran v på høyre side er -1. Da setter du opp at p + q = -1. Fra før vet du at p = 2. Så da får du at 2 + q = -1. Ja altså svaret blir at q =-3? 2+ q er jo tre. Trodde jeg..
Jaffe Skrevet 9. oktober 2010 Skrevet 9. oktober 2010 Ja, det stemmer det. Da misforsto jeg det du mente. Husk at = ikke betyr "svaret er" men at to ting er like. Så når du skriver at v = 3 = -3 så sier du faktisk at vektoren v er lik tallet 3, og at tallet 3 er lik -3...
Selvin Skrevet 9. oktober 2010 Skrevet 9. oktober 2010 Skal interpolere f(x) = x^2 om punktene 0,1,2,3. Får bare at det blir x^2? Er det feil? Skal nemlig finne y når x = 4 i interpolasjonsuttrykket. Svaret skal bli 16, noe det blir når jeg får x^2.. Syns bare at det varl itt rart..
Artorp Skrevet 9. oktober 2010 Skrevet 9. oktober 2010 Hvordan kan jeg bevise at sqrt(3) ikke kan skrives som en ikkereduserbar brøk a/b? Eventuellt at brøken (a/b) ikke finnes for (a/b)2 = 3? Har brukt ad absurdum-bevis: Går ut i fra at brøken (a/b) finnes for (a/b)2 = 3 -> (a2)/(b2) = 3 -> a2 = 3b2 -> a2 er delelig på tre men kommer så ikke lengre, prøver å finne felles faktor for a og b, som da vil falsifisere utsagnet. Hvordan går jeg videre?
Jaffe Skrevet 9. oktober 2010 Skrevet 9. oktober 2010 Dersom 3 er faktor i , så er det også faktor i a (faktoren 3 kan ikke plutselig oppstå når du kvadrerer et tall.) Ser du hva dette vil føre til? 1
Artorp Skrevet 9. oktober 2010 Skrevet 9. oktober 2010 Selvfølgelig, tusen takk! a = 3n -> 9n2 = 3b2 -> 3n2 = b2
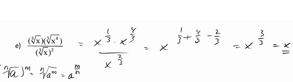
T.O.E Skrevet 10. oktober 2010 Skrevet 10. oktober 2010 La til et bilde av en oppgave mattelæreren gjorde. Jeg stussa på den oppgaven, for jeg skjønner ikke hvordan tredjeroten av x er det samme som x^1/3? Setter du inn ett tall istedet for x, så får du jo to helt forskjellige tall! diske.bmp
Selvin Skrevet 10. oktober 2010 Skrevet 10. oktober 2010 (endret) Nei, det gjør du ikke. Tredjeroten av 2 er det samme som 2^(1/3). Det er potensregel.. EDIT: Jeg har et spørsmål angående Taylor-polynom og feilledd. Du skal tilnærme funksjonen f(x) = e^x med et Taylor- polynom av grad n på intervallet [0; 1], utviklet om a = 0. Det viser seg at feilen er begrenset av 3*x^(n+1)/(n + 1)! Hva er den minste graden n som gøjr at feilen blir mindre enn 0,01 for alle x i intervallet [0; 1]? Endret 10. oktober 2010 av Selvin
T.O.E Skrevet 10. oktober 2010 Skrevet 10. oktober 2010 åja, fant feilen hadde ikke parentes rundt (1/3) på kalkulatoren.
T.O.E Skrevet 10. oktober 2010 Skrevet 10. oktober 2010 åja, fant feilen hadde ikke parentes rundt (1/3) på kalkulatoren.
predan Skrevet 10. oktober 2010 Skrevet 10. oktober 2010 (endret) Lim x->-2 oppgave: 2x^2 + 3x - 2/x+2 Finn grenseverdi. Får den ikke til. Svaret er -5 Endret 10. oktober 2010 av predan
Jaffe Skrevet 10. oktober 2010 Skrevet 10. oktober 2010 Faktoriser telleren, så ser du at du kan forkorte en faktor i telleren mot nevneren.
predan Skrevet 10. oktober 2010 Skrevet 10. oktober 2010 Er der jeg sliter nemlig. Vil faktorisere den til 2(x+2)(x-1), men du ser selv at det blir feil. Så med mindre man kan faktorisere annerledes? Prøvde med derivasjon også, men det skal egentlig ikke brukes her?
Selvin Skrevet 10. oktober 2010 Skrevet 10. oktober 2010 (endret) Røttene blir 0.5 og -2, ikke 1 og -2. Dermed stemmer det. Endret 10. oktober 2010 av Selvin
Atmosphere Skrevet 10. oktober 2010 Skrevet 10. oktober 2010 (endret) (x+2)(x-1)/(x+2) Stryk (x+2) Du kan faktorisere vha. røttene ... Du har to røtter (1/2) og -2 ... Siden du har et 2-tall "til overs" ganger du dette inn med den ene faktoren. Generelt har man at et andregradsuttrykk som ax^2+bx+c=0 kan skrives som (x-x1)(x-x2) der x1 og x2 er nullpunktene/røttene. Endret 10. oktober 2010 av Jude Quinn
Selvin Skrevet 10. oktober 2010 Skrevet 10. oktober 2010 (endret) Lurer på en oppgave: Vi har gitt en differensligning med initialbetingelser, xn+2 - 3xn+1 - 4xn = 2; x0 = 0; x1 = 1: Hva er løsningen? Endret 10. oktober 2010 av Selvin
bartimeus25 Skrevet 11. oktober 2010 Skrevet 11. oktober 2010 hei trenger hjelp med denne oppgave. Vet ikke helt hvordan jeg skal begynne / eller hva jeg skal finne ut
Anbefalte innlegg
Opprett en konto eller logg inn for å kommentere
Du må være et medlem for å kunne skrive en kommentar
Opprett konto
Det er enkelt å melde seg inn for å starte en ny konto!
Start en kontoLogg inn
Har du allerede en konto? Logg inn her.
Logg inn nå