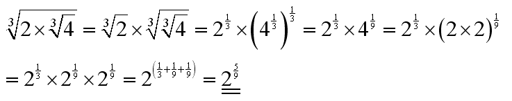
Potenser med brøkeksponent
-
Populær nå
-
Rasjonelle argumenter for å tro på Jesu oppstandelse. 1 2 3 4 24
Av Lagabøter, i Religion, filosofi og livssyn
- 471 svar
- 11 245 visninger
-
-
Hvem er aktive 0 medlemmer
- Ingen innloggede medlemmer aktive

Anbefalte innlegg
Opprett en konto eller logg inn for å kommentere
Du må være et medlem for å kunne skrive en kommentar
Opprett konto
Det er enkelt å melde seg inn for å starte en ny konto!
Start en kontoLogg inn
Har du allerede en konto? Logg inn her.
Logg inn nå