Cotul Skrevet 12. februar 2007 Skrevet 12. februar 2007 Hei. Sitter her med en oppgave hvor jeg må normalisere en vektor V = (x, y, z) og skal ende opp med ett tall. Har helt ærlig ikke snøring på hva jeg skal gjøre.
tresko Skrevet 12. februar 2007 Skrevet 12. februar 2007 Hei.Sitter her med en oppgave hvor jeg må normalisere en vektor V = (x, y, z) og skal ende opp med ett tall. Har helt ærlig ikke snøring på hva jeg skal gjøre. 7925108[/snapback] Vektorer er ikke mitt sterkeste emne, men jeg skal prove forklare av det jeg husker. En vektor har som sagt lengde og retning. En normalisert vektor er en vektor normalisert innefor [0,1]. For aa faa vektoren normalisert er du nodt til aa dele paa lengden til vektoren. Og hvordan man finner den, jo det gjores med vanlig formel for kartesisk lengde. Lengden til V er: ||V|| = (x^2 + y^2 + z^2)^(0.5) Dette gir oss den normaliserte vektoren: V' = V / ||V|| = (x / (x^2 + y^2 + z^2)^(0.5), y / (x^2 + y^2 + z^2)^(0.5), z / (x^2 + y^2 + z^2)^(0.5)) Litt vanskelig aa forklare med vanlig tekst. Hadde vaert lettere med bilder. Menmen.. haaper du forstod litt av det.
Cotul Skrevet 12. februar 2007 Forfatter Skrevet 12. februar 2007 jo takk, hjalp meg en hel del. eneste jeg må finne ut nå er hvordan det skal bli til 1 verdi, og ikke 3. prøver meg på å bare addere alle sammen jeg.
Loerand Skrevet 12. februar 2007 Skrevet 12. februar 2007 Du skal addere de sammen, deretter ta rota av summen.
pertm Skrevet 12. februar 2007 Skrevet 12. februar 2007 Du skal addere de sammen, deretter ta rota av summen. 7927712[/snapback] Rota av summen er nå ikke noe vits da fordi er summen 1 så blir rota 1 også
Loerand Skrevet 12. februar 2007 Skrevet 12. februar 2007 Det kommer nå helt an på hvilke verdier x, y og z har.
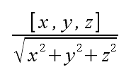
A-Jay Skrevet 12. februar 2007 Skrevet 12. februar 2007 (endret) Å "normalisere" en vektor er det samme som å finne en enhetsvektor, altså en vektor som har samme retning som gitt vektor, men lengde lik 1. Slik går man frem for å normalisere... La oss begynne med en vektor: For å ta det litt kjapt og enkelt vektoren deles altså på lengden av samme vektor. Slik: Eller kan også skrives slik: Edit: Ups, nederste ble visst krympet ned. Må trykke på den for å få i full størrelse. Forresten beklager jeg om jeg gjentar mye av det som er skrevet før, men jeg ville bare få skrevet det klart og tydelig så det er klart en gang for alle (og tråden forhåpentligvis kan avsluttes ) Endret 12. februar 2007 av A-Jay
Cotul Skrevet 13. februar 2007 Forfatter Skrevet 13. februar 2007 vel, fikk høre fra en hjelpe lærer at det å få det ned til et tall kunne jeg se på som en skrive feil, så da har jeg det jeg trenger
Anbefalte innlegg
Opprett en konto eller logg inn for å kommentere
Du må være et medlem for å kunne skrive en kommentar
Opprett konto
Det er enkelt å melde seg inn for å starte en ny konto!
Start en kontoLogg inn
Har du allerede en konto? Logg inn her.
Logg inn nå