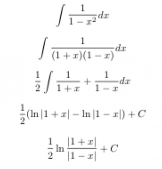
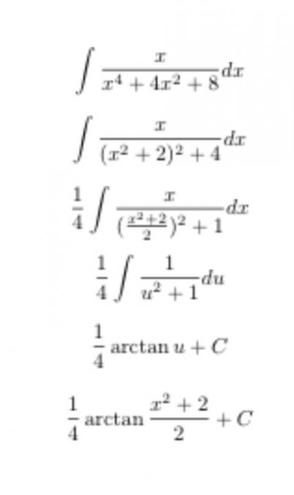
Dagens integral
-
Populær nå
-
Høyresidens nyttige idioter: Hvordan milliardærenes PR-maskin fikk arbeidsfolk til å tro at formuesskatten angår dem. 1 2 3 4 25
Av JornHansen, i Politikk og samfunn
- formueskatt
- frp
- (og 4 andre)
- 484 svar
- 16 992 visninger
-
-
Hvem er aktive 0 medlemmer
- Ingen innloggede medlemmer aktive

Anbefalte innlegg
Opprett en konto eller logg inn for å kommentere
Du må være et medlem for å kunne skrive en kommentar
Opprett konto
Det er enkelt å melde seg inn for å starte en ny konto!
Start en kontoLogg inn
Har du allerede en konto? Logg inn her.
Logg inn nå