Gå til innhold
Trenger du skole- eller leksehjelp? Still spørsmål her ×

Derivasjon av funksjon med flere indre funksjoner


Anbefalte innlegg

Skrevet

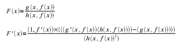
Oppgaven øverst og mitt forslag til svar nederst. Har litt vanskelig for å tro at det skal se sånn ut, men var det eneste jeg klarte å få så sant jeg skal derivere kjernene (x,f(x))' = (1,f'(x)).

 

post-41797-1237900196_thumb.jpg

 

Tror dere jeg skal løse ut denne parentesen (første i teller) i svaret?

Videoannonse
Annonse
Skrevet

Skriv heller telleren * nevneren-1, ikke vits å pugge formelen for derivasjon av brøk IMO. Bare kluss^. ^^

 

Bruk kjerneregelen på g(f(x) og h(f(x):

g(f(x)'=g'(f(x))*f'(x), og tilsvarende på den andre.

 

Bruk produktregelen:

g(f(x)*h(f(x)'+g(f(x)'*h(f(x)

 

 

Har ikket id til å løse den nå, men skal fikse løsningsforslag når jeg kommer hjem hvis du enda ikke får det til. :)

Skrevet
Har ikket id til å løse den nå, men skal fikse løsningsforslag når jeg kommer hjem hvis du enda ikke får det til. :)

Ja takk, hadde vært fint:)

Opprett en konto eller logg inn for å kommentere

Du må være et medlem for å kunne skrive en kommentar

Opprett konto

Det er enkelt å melde seg inn for å starte en ny konto!

Start en konto

Logg inn

Har du allerede en konto? Logg inn her.

Logg inn nå
  • Hvem er aktive   0 medlemmer

    • Ingen innloggede medlemmer aktive
×
×
  • Opprett ny...