Gå til innhold
Trenger du skole- eller leksehjelp? Still spørsmål her ×

Noen som kan hjelpe meg med en opsjonsoppgave?


Anbefalte innlegg

Skrevet (endret)

Hei, proffersorern min har lagd en opsjonsoppgave jeg virkelig ikke får til, og det irriterer meg.

 

post-122992-0-63242700-1446848868_thumb.png

 

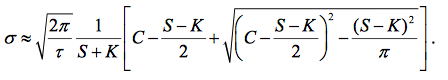
Han viser til at en måte å løse den på er å bruke formelen:

 

post-122992-0-56290000-1446849275.png

 

Aksjeprisen er 721.11 og Bid for innløsningskursen 720 15 Januar 2016 er 25.20.

 

Siden innløsningskursen IKKE er lik aksjeprisen har jeg funnet ut at det er bedre å bruke Corrado og Millers:

 

post-122992-0-32179700-1446849230_thumb.png

 

Det jeg ikke forstår er tidsperspektivet. Informasjonen jeg har oppgitt er for januar 2016, og jeg skal finne vollaiteten for oktober 2015. Ville ikke det omvendte vært mer logisk? Hadde det vært omvendt skulle jeg vel satt 275/365 for tid, men forstår virkelig ikke dette.

Endret av TheNarsissist
Videoannonse
Annonse

Opprett en konto eller logg inn for å kommentere

Du må være et medlem for å kunne skrive en kommentar

Opprett konto

Det er enkelt å melde seg inn for å starte en ny konto!

Start en konto

Logg inn

Har du allerede en konto? Logg inn her.

Logg inn nå
  • Hvem er aktive   0 medlemmer

    • Ingen innloggede medlemmer aktive
×
×
  • Opprett ny...